二瓦计法相位与功率因数的关系
- 浏览次数:15598次
- 发布时间:2014/3/20 14:14:40
- 作者:银河电气
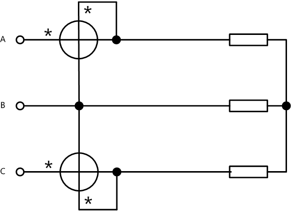
二瓦计法被广泛应用于三相三线制中三相总有功功率的测量。
二瓦计法包括两个功率表,两个功率表的
有功功率之和等于三相总有功功率。功率表接线图如图1。
图1. 二瓦计法接线图
图1所示的两个功率表P1和P2的示值并没有明确的物理意义。
P1的示值取决于线电压Uab、线电流Ia及线电压Uab和线电流Ia的相位差。
P2的示值取决于线电压Ucb、线电流Ic及线电压Ucb和线电流Ic的相位差。
在三相对称电路中,
三相功率因数等于
单相功率因数,但是,二瓦计中,多数情况下,P1和P2的
功率因数不同,P1和P2的
功率因数与三相功率因数不同。
图2为Y型接法且三相对称时线电压、相电压与线电流(相电流)的相位关系图。
图2. 二瓦计法线电压、相电压、线电流、相电流的关系
左图中,功率因数为1,相电压与相电流的相位差φ=0°。此时,线电压Uab与线电流Ia的相位差为30°;线电压Ucb与线电流Ic的相位差为-30°
更为普遍的相位关系见右图,由图可知,线电压Uab与线电流Ia的相位差为φ+30°;线电压Ucb与线电流Ic的相位差为φ-30°。
记线电压Uab与线电流Ia的相位差为φab,功率表P1的功率因数为cosφab;线电压Ucb与线电流Ic的相位差为φcb,功率表P2的功率因数为cosφcb;相电压与相电流的相位差为φ,功率因数为cosφ。
表1列出了几个典型功率因数下的线电压与线电流的相位关系及功率表P1和P2的功率因数。
表1.二瓦计法下总功率因数与各功率表的功率因数的关系
| NO |
φ |
Cosφ |
φab |
Cosφab |
φcb |
Cosφcb |
| 1 |
-150° |
-0.866 |
-120° |
-0.5 |
180° |
-1 |
| 2 |
-120° |
-0.5 |
-90° |
0 |
-150° |
-0.866 |
| 3 |
-90° |
0 |
-60° |
0.5 |
-120° |
-0.5 |
| 4 |
-60° |
0.5 |
-30° |
0.866 |
-90° |
0 |
| 5 |
-30° |
0.866 |
0° |
1 |
-60° |
0.5 |
| 6 |
0° |
1 |
30° |
0.866 |
-30° |
0.866 |
| 7 |
30° |
0.866 |
60° |
0.5 |
0° |
1 |
| 8 |
60° |
0.5 |
90° |
0 |
30° |
0.866 |
| 9 |
90° |
0 |
120° |
-0.5 |
60° |
0.5 |
| 10 |
120° |
-0.5 |
150° |
-0.866 |
90° |
0 |
| 11 |
150° |
-0.866 |
180° |
-1 |
120° |
-0.5 |
| 12 |
180° |
-1 |
-150° |
-0.866 |
150° |
-0.866 |
由表1可知:
当功率因数为±1时,两个功率表读数相同,符号相同。
当功率因数为0时,两个功率表读数相同,符号相反。
当一个功率表的功率因数为±1时,另一个功率表的功率因数必为±0.5,且两个功率表的符号相同。