

由于整流元件的特性,可以在整流电炉的阀侧直接控制硅整流元件导通的相位角度,可以平滑的调整整流电压的平均值,这种调压方式称为相控调压。
相控调压节电技术采用改善电动机外部运行环境实现动态电量管理,是与变频器互补的交流电机两大主流节电技术之一。它利用电机轻载时效率很低这一点,通过降低输入电机的端电压来提高电机效率。由于电机轻载时的铁耗和机械损耗与额定负载时相差很小,故轻载时它们之和在总损耗中占得比重较大,因此效率很低。若轻载时降低输入电压,电机的反电势和主磁通均减小,激磁电流中的磁化电流也随之减小,并随铁芯饱和程度的下降而下降很多;铁耗基本与U1的平方成正比例,同样也减少较大;另外负载下降时负载电流也必将减小,随之也减少了有功损耗。总之,负载下降时紧跟着调低输入电压的确可提高功率因数和效率,减少有功损耗。
相控调压技术采用闭环反馈系统进行优化控制,通过实时测量电动机的电压与电流波形,由于电动机为一感性负载,其电流与电压波形通常存在一相位差,该相位差的大小与其负载的大小有关。相控器将实际相位差与依据电动机特性的理想相位差进行比较,并依此来控制 SCR可控硅整流桥触发角以给电动机提供优化的电流和电压,以便及时调整输入电机的功率,实现“所供即所需”。
相控技术还采用了可控硅半导体与集成芯片检测与控制触发系统来实现无触点开关功能,其检测和控制集成芯片的高速处理特性和 SCR的快速反应特点,使得相控器装置能自动处理各种工况下的电动机动态特性,具有软启动、节能、优化运行及保护等特性。采用最新的集成电路芯片控制技术,不断地检测电机的工作状态,从而改变输入的电压。当检测到电机在轻载或负载不断变化时,通过可控硅能在百分之一秒以内调整输入电机的电压,使电机的输出功率与实时负载刚好匹配,从而减低铜损、铁损,改善电机启动、停机性能,达到节电效果。
单相相控交流调压电路如图1所示。两个晶闸管反并联与负载串联,通过改变控制角来调节晶闸管的导通时间,进而起到调节负载电压有效值的作用。与晶闸管相控整流电路类似,负载性质会对电路的工作情况有较大的影响,下面分别对纯电阻负载和电感性负载进行分析。

图1.单相相控交流调压电路
电源正半周VT1承受正向电压,在ωt=α时触发VT1导通,负载电压uo=u,由于是电阻性负载,负载电流io=u/R,到ωt=π时,正半周结束,io=0,VT1关断。此后uo=0。在电源负半周,VT2承受正向电压,ωt=π+α时VT2被触发导通,uo=u,ωt=2π时,VT2关断。负载电压的波形如图2所示:

图2.纯电阻负载波形图
负载电压的有效值Uo为
![]()
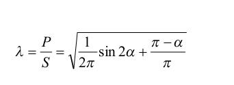
随着控制角的增大,负载电压减小,控制角的移相范围为0<α<π。由于是纯电阻负载,负载电流瞬时值io与负载电压uo呈正比关系,负载电压有效值与负载电流有效值的关系为U0=I0R。电源侧的视在功率S为S=UI0。电源输出的有功功率P为P=U0I0。功率因数为
![]()
相控作用使电流发生滞后,并且波形也发生畸变,所以即使纯电阻负载功率因数也不为1。而且控制角越大,功率因数越低,这是相控电路普遍存在的一个缺点。
带电感性负载的单相交流调压电流如图3所示。ωt=α时VT1导通,负载电压uo=u,电流开始上升,由于电感的作用,io与uo不呈正比关系,电感的作用还使晶闸管延迟关断,在电压正半周结束后的一段时间VT1仍导通,直到负载电流下降到0时VT1关断。ωt=π+α时触发VT2,VT2的导通时间也将持续到负半周结束io下降到零的时刻。可见晶闸管的导通角θ>π-α。电感性负载时负载电压和电流的波形如图4所示。

图3.带电感性负载单相交流调压电路

图4.感性负载波形图