当前位置:首页产品问答 │ 最全的功率计算公式

最全的功率计算公式

  • 浏览次数:521007次
  • 发布时间:2013/10/2 0:49:15
  • 作者:AnyWay中国

最全功率计算公式

概 述

       功率包括电功率机械功率。电功率又包括直流电功率交流电功率射频功率;交流功率又包括正弦电路功率非正弦电路功率;机械功率又包括线位移功率角位移功率,角位移功率常见于电机输出功率;电功率还可分为瞬时功率平均功率有功功率)、无功功率视在功率。在电学中,不加特殊声明时,功率均指有功功率。在非正弦电路中,无功功率又可分为位移无功功率畸变无功功率,两者的方和根称为广义无功功率

本文列出了上述所有功率计算公式,文中p(t)指瞬时功率。u(t)、i(t)指瞬时电压和瞬时电流。U、I指电压、电流有效值,P指平均功率。

1普遍适用的功率计算公式

  在电学中,下述瞬时功率计算公式普遍适用

  瞬时功率计算公式

  注:有关电学瞬时功率计算公式的更多信息请阅读:瞬时功率与有功功率计算公式

  在力学中,下述瞬时功率计算公式普遍适用

  力学功率计算公式

  在电学和力学中,下述平均功率计算公式普遍适用

  平均功率计算公式

  W为时间T内做的功。
  在电学中,上述平均功率P也称有功功率,P=W/T作为有功功率计算公式普遍适用。
  在电学中,公式(3)还可用下述积分方式表示
  有功功率计算公式
  其中,T为周期交流电信号的周期、或直流电的任意一段时间、或非周期交流电的任意一段时间。电学中,公式(3)和(4)的物理意义完全相同。
  电学中,对于二端元件或二端电路,下述视在功率计算公式普遍适用:
  视在功率计算公式
 

2直流电功率计算公式

  直流有功功率计算公式1

  已知电压、电流时采用上述计算公式。

  直流有功功率计算公式2

  已知电压、电阻时采用上述计算公式。

  直流有功功率计算公式3

  已知电流、电阻时采用上述计算公式。

  针对直流电路,下图分别列出了电压、电流、功率、电阻之间相互换算关系。

功率计算公式 

3正弦交流电功率计算公式

  正弦交流电无功功率计算公式:
  正弦电路无功功率计算公式
  正弦交流电有功功率计算公式:

  正弦电路有功功率计算公式
  正弦电流电路中的有功功率、无功功率、和视在功率三者之间是一个直角三角形的关系:
  正弦电路复功率计算公式
  当负载为纯电阻时,下式成立:
  直流电路有功功率等于视在功率
  此时,直流电功率计算公式同样适用于正弦交流电路。

 

 

4非正弦交流电功率计算公式

  非正弦交流电功率计算公式采用普适公式(3)或(4)
  对于周期非正弦交流电,将周期交变电压电流进行傅里叶变换,展开为傅里叶级数,有功功率计算公式还可表示为:

  非正弦电路有功功率计算公式

  上式中,当n仅取一个值时,例如:n=1,上式成为基波有功功率计算公式;n=3,上式成为三次谐波有功功率计算公式。

  在非正弦电路中,有功功率和视在功率的定义不变,然而,此时,电压、电流相位差已经没有明确的物理意义,此时,Q按照下述公式定义:

  非正弦电路位移无功功率计算公式
  式中,Un、In为n次谐波的有效值,当n=1时,U1、I1称为基波有效值。
  然而,此时,
  非正弦电路视在功率、无功功率及有功功率不满足三角关系
  由于Q与基波及谐波电压、电流的相位角相关,称为位移无功功率。为此,引入畸变无功功率D,畸变无功功率计算公式如下:

  非正弦电路畸变无功功率计算公式

  畸变无功功率有时也称畸变功率,上式中,N为电压、电流最大谐波次数中的小者。某些文献中也将Q称为无功功率,而将Q和D的方和根称为广义无功功率。

  对比位移无功功率和畸变无功功率的计算公式,可以发现:Q是相同频率的电压分量与电流分量相位移不同产生的无功;而畸变无功功率则是不同频率电压及电流分量之间产生的无功。这一点很容易理解,前者是因为相同频率分量之间存在相位差。而后者由于频率不同,其相位差始终在变化,当然不会相等,而电压和电流相位不同,就会产生无功。

  非正弦电路中,视在功率S、有功功率P、位移无功功率Q、畸变无功功率D满足下述计算公式。
  非正弦电路视在功率计算公式

 

5射频功率计算公式

  射频功率属于交流电功率,理论上具有与交流电功率相同的计算公式,但是,实际上在超高频和微波频段,有TEM波和非TEM波之分。在TEM波的同轴系统中,电压和电流虽有确切含意,但测量其绝对值很困难。在波导系统中,因为存在不同的电磁模式,电压和电流失去唯一性。在个频段和各传输系统中,功率是单值表征信号强度的重要方法。在射频范围直接测量功率代替了电压和电流的测量。

 

6三相有功功率计算公式

  三相电路中,总有功功率等于各相有功功率的算术和。三相四线制电路中,通常采用三瓦计法分别测量每相的功率,三相有功功率计算公式如下:
  三瓦计法有功功率求和公式
  对于三相三线制电路,也可采用二瓦计法,三相功率计算公式为:

  二瓦计法有功功率求和公式
  注1:二瓦计法适用对称和不对称的三相三线制电路,详细功率计算公式推导请参见:二瓦计与三瓦计法适用场合详解

  对于正弦三相对称电路,

  三相平衡正弦电路有功功率计算公式1

  U、I为线电压、线电流有效值,φ为相电压与相电流的相位差。

  或
  三相平衡正弦电路有功功率计算公式2

  UP、IP为相电压、相电流有效值,φ为相电压与相电流的相位差。

  注:采用二瓦计法测量时,每个瓦表的相位差与上述φ有内在联系,但并不相同,详细内容请参见:二瓦计法相位与功率因数的关系

7三相无功功率计算公式

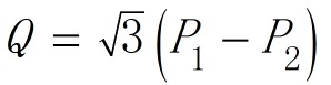
  在电源和负载都对称的三相三线电路中,可以利用测量有功功率的两表法测出三相无功功率:

  子夜无人免费观看

  P1、P2为两个功率表测量数据

  三表法适用于电源电压对称、负载对称或不对称的三相三线制和三相四线制电路中:

  子夜无人免费观看

  P1、P2、P3分别为三个功率表测量数据

8电动机输出功率计算公式

  电动机输出功率也称电动机轴功率或机械功率,电动机输出功率计算公式如下:

  电动机输出功率计算公式
  其推导过程如下:

  P=FV   (a)
  F:力,单位为N;V:速度,单位为m/s;P:功率,单位为W
  T=FR
  F=T/R  (b)
  T:扭矩,单位为N.m;R:作用半径,单位为m
  V=2πRn/60=πR*n/30   (c)
  V:线速度,单位为m/s;n:转速,单位为r/min
  将(b)、(c)代入(a)
  P=πTn/30
  若将P的单位变为kW,得到下述电机功率计算公式:
  P=πTn/30000=Tn/9549
  或
  T=9549P/n

  注:电机输入功率、输出功率及扭矩的换算公式及详细推导过程请参见:扭矩和功率的计算公式推导及记忆方法

 

9功率测量仪器

  WP4000变频功率分析仪是一款适用于变压器、整流器、逆变器、变频器等各类变流器及电机、电器产品的检试验、能效评测及谐波分析的宽频带、高精度功率分析仪,是电力电子技术、变频调速技术和新能源技术高速发展的必然产物和健康持续发展的重要基础仪器。

WP4000变频功率分析仪

  依据上述电学相关功率计算公式,WP4000变频功率分析仪可以测量或计算上述所有电功率参数。

 

9其它参考资料

  站内链接:有功功率

  站内链接:无功功率

  站内链接:位移无功功率

  站内链接:畸变无功功率

  站内链接:如何计算三相不平衡正弦电路的视在功率和功率因数?



Copyright 2010-2017 , All Rights Reserved 子夜无人免费观看 版权所有 湘ICP备09002592号-5