当前位置:首页产品问答 │ 如何对钳型电流表进行校准

如何对钳型电流表进行校准

  • 浏览次数:307666次
  • 发布时间:2016/7/3 17:14:43
  • 作者:ly_yinhe

  钳形电流表的校准方法主要可以归纳为直接比较法(模拟指示标准表法)、标准数字表法、用多功能校准器做标准的校准方法。下面本文根据钳形电流表校准规范对几种钳形电流表校准方法进行介绍。

钳形电流表校准操作要求

  1、被校钳形表置于校准环境条件下不少于2h,以消除温度梯度;同时除制造厂商规定外不允许预热。校准前检查钳口铁芯端面是否清洁干净,并保证两端面接触完好。
  2、调整被校表零位,被测导线应置于近似钳口几何中心位置,并与电流互感器窗口垂直。
  3、测量时除被测导线外,其他所有载流导体与被校表之间的距离应大于0.5m。根据被校表的准确度、量程、频率校准被测钳形电流表的基本误差;也可根据用户要求,只校准所需或要求部分。
  4、对多量程钳形电流表进行基本误差校准时,只对其中一个量限的有效范围内的数字分度线(指针式)或已选定的校准点(数字式)进行校准。而对其余量限只校准其上限分度线(指针式)或满量程的95%(数字式)。
  5、数字式钳形电流表的基本量程校准点的选取原则为下限至上限均匀的选取不少于5个校准点。
  6、指针式钳形表校准读取数值时,应避免视差。
  7、对每个校准点读书一次。
  8、在保证校准准确度的条件下,允许使用规范未定的校准方法。

钳形电流表校准直接比较法(模拟指示标准表法)

  采用直接比较法校准钳形电流表时,标准表的测量上限与被校表的测量上限之比应在1~1.25范围内。同时,标准表及配用的互感器应符合下表1的要求。
对标准表及互感器的要求
表1:对标准表及互感器的要求
  校准时调整被校钳形表的零位,按图1连接好线路,将被校表顺序地指在每个数字分度线(指针式)或已选定的校准点(数字式)上,并记录这些点的实际值X0。
  标准表直接校准时按图1(a)接线,被校量(点)的实际值按下式计算:
子夜无人免费观看
  式中:
  Ci——校准电流表的额定分度值(A/格);
  Xc——校准表示值(格);
  C——标准表修正值(格);
直接比较法的原理图
图1:直接比较法的原理图
  I0——标准电流表;IX——被校钳形电流表;BL——电流互感器
  标准表与互感器组合校准时按照上图1(b)接线,被校量(点)的实际值按下式计算
子夜无人免费观看
  式中:
  Ki——电流互感器的额定变比系数,其余符号含义同式直接。

钳形电流表校准标准数字表法

  当校准数字多用表的校准误差小于被校表允许误差1/3~1/5时,可采用标准数字表法进行校准。校准原理图如图2所示,采用这种校准方法,必须注意校准电阻的取值。根据被校表所选取的校准点,既保证回路电流要小于校准电阻的额定值,又必须使标准数字表的读数尽量接近其满量程值。由于输入电阻值不是足够大而引起的附加误差应小于允许误差的1/5以下。
  操作时标准数字电压表要按说明书要求进行预热和预调,选择合适的功能和量程。作为交流标准的数字电压表,必须有频率为50Hz的检定结果。
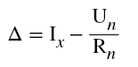
  标准数字发校准钳形电流表时按图2接线,设测得标准电阻两端电压实际值Un,标准电阻实际值为Rn,被校表显示值IX,则回路电流实际值为:
标准数字表法原理图
图2:标准数字表法原理图
Rn——标准电阻;IX——被校钳形电流表
子夜无人免费观看
  被校表的绝对误差为:
子夜无人免费观看
  被校表的基本误差用百分数表示为:
子夜无人免费观看
  式中:
  Im——被校表的上限电流值。

多功能校准器作为标准的校准方法

多功能校准器的要求
表2:多功能校准器的要求
  采用多功能校准器作为标准对钳形电流表进行校准时,多功能校准器必须满足如上表2所示的要求。多功能校准器一般采用自动化校准操作模式,根据被检测仪表选择合适校准点及校准模式,即可对钳形表进行校准。

原文:http:/NewsDetail-1894.aspx转载务必带链接注明出处,未注明必追究责任!

Copyright 2010-2017 , All Rights Reserved 子夜无人免费观看 版权所有 湘ICP备09002592号-5