当前位置:首页产品问答 │ 如何采用比较法进行功率表校准

如何采用比较法进行功率表校准

  • 浏览次数:10369次
  • 发布时间:2016/7/2 20:44:19
  • 作者:ly_yinhe

  功率表一般可以通过标准功率源法及对比法对其进行校准,在之前的文章中已经对标准功率源法进行过介绍(如何采用标准功率源进行功率表校准),下面本文主要对采用对比法校准功率表进行介绍。对比法校准功率表主要采用一台稳定的功率输出源及一台标准功率表替代原有的标准功率源。如图1所示比较法校准功率表原理图所示,稳定功率源及标准功率表等效为一台标准功率源。
比较法校准功率表的原理接线图
图1:比较法校准功率表的原理接线图
  校准操作时,标准功率表的电压回路连接在稳定功率源的电压输出端上,而标准功率表的电流回路串联连接在稳定功率源电流输出端的非公共端上,这样组成的等效标准功率源的示值Ps即为标准功率表的示值Po的负值;如果需要改变标准功率表Po的正负号,可以将标准功率表的电流回路两端对调。对比法校准功率表选取校准点可参照标准源法,选取校准点后可参照以下步骤分别对模拟功率表及数字功率表进行校准操作。

模拟功率表校准

  a、选择标准功率表和被校功率表电压电流量限,按照图1所示接线;
  b、调整被校表零位;
  c、设置稳定功率源的功率因数,根据被校功率表量限,调节稳定功率源输出电压为被校功率表额定电压;
  d、缓慢增大稳定功率源的输出电流,使被校功率表的指针与数字分度线Xi重合,记录此时标准功率表读书Ps1于校准记录表格;
  e、重复d,稳定功率源输出电流从小到大,直至所有的需要校准的数字分度线校准完毕;
  f、增大稳定功率源输出电流到被校功率表测量范围上限以上,立刻缓慢减小稳定功率源输出电流,使功率表指针再次与被校的数字分度线Xi重合,记录此时标准功率表读书Ps2于校准记录表格。
  g、重复f,稳定功率源输出电流从大到小,直至所有的需要校准的数字分度线校准完毕;
  h、改变稳定功率源功率因数和电压电流量限,重复b~g;
  i、设被校功率表额定功率为Pn,满刻度为Xn,则被校功率表的额定分度值Cw按下式计算:
子夜无人免费观看
  式中:
  Cw——被校功率表的额定分度值,以每瓦的刻度格表示;
  Xn——被校功率表满刻度值,以刻度格表示;
  Pn——被校功率表额定功率,单位为瓦(W)。
  被校刻度实际值按下式计算:
子夜无人免费观看
  式中:
  Xs——被校刻度实际值,以刻度格表示;
  Cw——被校功率表满刻度值,以每瓦的刻度格表示;
  Ps1、Ps2——分别为电流上升和下降时等效标准功率源的输出功率值(即标准功率的示值),单位为瓦(W)。
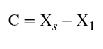
  对应修正值按下式计算:
子夜无人免费观看
  式中:
  C——被校刻度修正值,以刻度格表示;
  Xs——被校刻度实际值,以刻度格表示;
  X1——被校刻度示值,以刻度格表示。
  从量程的所有校准点找出最大绝对误差ΔXm=-Cm,则被校功率表最大基本误差γ按下式计算:
子夜无人免费观看
  式中:
  γ——被校功率表最大基本误差;
  Xn——被校功率表的满刻度值,以刻度格表示;
  ΔXm——被校功率表的最大绝对误差,以刻度格表示。

数字功率表校准

  a、选择被校功率表电压电流量限,按照图1所示接线;
  b、对被测功率表进行自校及调整;
  c、设置稳定功率源的功率因数,根据被校功率表量限,设定稳定功率源输出电压为被校功率表额定电压;
  d、调节稳定功率源输出电流,使标准功率表的显示值为Ps,被校功率表测量值为Px。记录Ps和Px于校准记录表格。
  e、改变稳定功率源功率因数和电压电流量限,重复c~d;
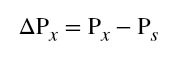
  f、被校功率表示值Px的误差ΔPx按下式计算:
子夜无人免费观看
  式中:
  ΔPx——被校功率表示值误差,单位为瓦(W);
  Px——被校功率表示值,单位为瓦(W);
  Ps——标准功率表的示值,单位为瓦(W);
  被校功率表的基本误差γ按下式计算:
子夜无人免费观看
  式中:
  γ——被校功率表基本误差;
  Un——被校功率表额定电压,单位为伏(V);
  In——被校功率表额定电流,单位为安(A);
  Cos(φ)——被校功率表的额定功率因数。
原文:http:/NewsDetail-1894.aspx转载务必带链接注明出处,未注明必追究责任!

Copyright 2010-2017 , All Rights Reserved 子夜无人免费观看 版权所有 湘ICP备09002592号-5