

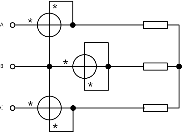
WP4000变频功率分析仪的2V3A线路图采用两表法法测量三相功率。2V3A是指实际测量两路电压和三路电流。WP4000变频功率分析仪的2V3A接线原理图如下:
图. WP4000变频功率分析仪的2V3A接线原理图
上图中,连接在A相和C相的两个变频功率传感器相当于两个单相有功功率表,构成两表法测功电路。连接在B相的变频功率传感器的电压测试线互相短接,仅仅电流测量通道其作用,用于测量B相电流。
WP4000变频功率分析仪的2V3A线路图适用于三相三线制。就两表法而言,只需要实测两路电压和两路电流,亦可采用2V2A线路图。
WP4000变频功率分析仪的2V2A测试中,依据基尔霍夫电流定律,可以准确运算出第三相电压和第三相电流。2V3A接线图在2V2A基础上增加了一路实测电流,主要适用于基尔霍夫电流定律不适用的三相三线制回路。
2V3A线路图的典型应用案例是:
在变频器供电的电机试验测试中,即便采用三相三线制,由于变频器输出包含高次谐波,而绕组对地、或对机壳、或对其它绕组之间存在分布电容,高次谐波会通过分布电容另外形成泄露电流,基尔霍夫电流定律不再适用。依据基尔霍夫电流定律运算的第三相电流可能会存在较大的误差。但是,三相三线制中又不宜采用三表法测量功率,因此,才有上述2V3A这样的变通测量方案。