当前位置:首页检测中心基础知识 │ 电子式交流电能表误差检定

电子式交流电能表误差检定

  • 浏览次数:9959次
  • 发布时间:2016/11/9 16:40:10
  • 作者:ly_yinhe

  电子式交流电能表是指用电子器件组成测量电路的交流电能表,一般适用于频率50Hz或60Hz单相、三相电路电能测量,其电流和电压作用于固态(电子)元件上,在一定时间内与产生的电能成正比。因为它不同于机电式(感应式)交流电能表具有转动元件,所以又称为静止式交流电能表。电子式单相电能表的原理框图如下图1所示。下面本文根据电子式交流电能表检定规程对其误差检定内容进行详细介绍。

电子式单相电能表的原理结构图

图1:电子式单相电能表的原理结构图

  Tips:对于三相电子式电能表,各项电压、电流采样电路及其乘法器与电子式单相电能表相同,但在P/F变换器前需加求和电路,将各相乘法器输出信号相加后送到分频器变频。

电子式交流电能表测量误差限值要求

  在额定工作条件下,有功和无功电能表的基本误差限值应当满足下表1、表2规定的限值要求;如果电能表应用于测量双向电能,则表1和表2的规定适用于每一方向上的电能测量。

单相电能表和平衡负载时三相电能表的基本误差限值

表1:单相电能表和平衡负载时三相电能表的基本误差限值

不平衡负载时三相电能表的基本误差限值

表2:不平衡负载时三相电能表的基本误差限值

电子式交流电能表额定测试负载点

  电子式交流电能表应当在不同的功率点进行误差检定,根据检定规程要求在额定频率和电压下一般按照下表3、4规定的调定负载点。在不同功率因数下,按负载电流逐次减小的顺序测量基本误差。如有特殊要求,可以视情况增加检定负载点。

  表3:检定单相电能表和平衡负载下的三相电能表时应调定的负载点

不平衡负载时三相电能表分组检定时应调定的负载点

表4:不平衡负载时三相电能表分组检定时应调定的负载点

电子式交流电能表检定方法

01标准表法检定电子式交流电能表

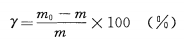
  用标准表法检定电能表要求标准电能表与被检电能表都在连续工作情况下,用被检电能表输出的脉冲(低频或高频)控制标准电能表计数来确定被检电能表的相对误差。

  被检电能表的相对误差γ式1计算:

子夜无人免费观看……1

  式中:

  m——实测脉冲数;

  m0——算定(或预置)的脉冲数,按式2计算。

子夜无人免费观看……2

  式中:

  N——被检电能表低频或高频脉冲数;

  C0——标准表的(脉冲)仪表常数,imp/kWh;

  CL——被检电能表的(脉冲)仪表常数,imp/kWh;

  KI,KU——标准表外接的电流、电压互感器变比。当没有外接电流、电压互感器时,KI和KU都等于1。

  对铭牌上标有电流互感器变比KL和/和电压互感器变比KY经互感器接入式的电能表,算定脉冲数m0按下式计算:

子夜无人免费观看

  进行检定时应当适当地选择被检电能表的低频(或高频)脉冲数N和标准表外接的互感器量程或标准表的倍率开关档,使算定(或预置)脉冲数和实测脉冲数满足表5的规定,同时每次测试时限不少于5s。

算定(或预置)脉冲数、功率表或功率源显示位数和显示被检电能表误差的小数位数

表5:算定(或预置)脉冲数、功率表或功率源显示位数和显示被检电能表误差的小数位数

02瓦秒法检定电子式交流电能表

  采用瓦秒法对电子式交流电能表进行检定操作时,采用标准功率表测定调定的恒定功率,或用标准功率源确定功率,同时用标准测时器测量电能表在恒定功率下输出若干脉冲所需时间,该时间与恒定功率的乘积所得实际电能,与电能测定的电能相比较来确定电能表的相对误差。

  相对误差按下式计算:

子夜无人免费观看

  式中:

  m——实测脉冲数,即电能表有误差时在Tn(s)内显示的脉冲数;

  m0——算定(或预置)脉冲数,按下式计算:

子夜无人免费观看

  其中:

  Tn——选定的测量时间,s;

  P——调定的恒定功率值,W。

  当采用自动方法控制标准测时器,被检电能表连续运行,测定时间不少于10s;若用手动方法控制标准测时器,被检电能表连续转动,测量时间不少于50s。若标准功率表或标准功率源所发动功率脉冲序列不够均匀或其相应速度较慢,还需适当增加测量时间以保证测试精度。

原文:/NewsDetail-2023.aspx转载务必带链接注明出处,未注明必追究责任!

Copyright 2010-2017 , All Rights Reserved 子夜无人免费观看 版权所有 湘ICP备09002592号-5