

数字高压表是一种用于交流高电压或直流高电压的测量仪器,包括前端高压变送传感器、信号电缆、数字显示测量仪表构成。根据数字高压表检定规程描述,数字高压表适用于1000V以上、评论范围在30Hz~300Hz范围内的高压测量,下面本文主要介绍数字高压表的误差限值及相关误差检定方法。

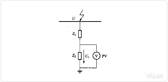
图示1:数字高压表工作原理示意图
Z1——高压分压器高压臂阻抗;
Z2——高压分压器低压臂阻抗;
PV——低压数字表;
U——被测高电压,
;
n——高压分压器的分压比,
;
U1——PV读数值。
数字高压表一般是指是用于测量频率范围在30Hz~300Hz内的交流高电压和(或)直流高电压的测量仪表,主要由高压分压器、传输电缆和低压数字表构成。为了减小外界干扰,高压分压器的低压输出端通常使用屏蔽电缆与低压数字表连接,电缆的屏蔽层与芯线间的电容与高压分压器的低压臂阻抗并联,因此传输电缆可以视为高压表的一部分。
数字高压表的基本误差公式一般可采用下列两种表现形式表示:
a) 两项误差之和所表示的绝对误差来表示,且误差公式中的b值应不大于a值的1/5。
式中:

a——与读书有关的误差系数;
Ux——被检表的读书值(显示值);
b——与满刻度值有关的误差系数;
Um——被检表的量程。
a、 b数值由生产厂家给出,若生产厂家为给出b值,则认为b值为零。
b) 用与数字高压表读数值之比的相对误差来表示

数字高压表的准确度等级分为0.1,0.2,0.5,1.0,1.5和2.0共6个等级。每一个等级对应的运行误差见下表

表1示:准确度等级与允许误差
根据数字高压表检定规程要求其基本误差检定一般采用直接比较法。交流电压的基本误差检定在工频电压下进行。
检定数字高压表基本误差的检定点为被检数字高压表额定电压的10%,20%,30%,40%,50%,60%,70%,80%,90%和100%共10个点。检定时,各检定点在电压上升和下降时各测量一次。如果数字高压表的技术条件还规定了其他工作电压范围,则还应增加相应的上限和下限检定点。
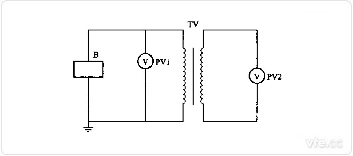
采用高压分压器作标准器检定数字高压表,按照下图2所示线路接线。
B——高压电源及调压控制和保护装置;PV1——被检数字高压表;R——标准分压器;PV2——标准低压表

图示2:采用高压分压器作标准器检定数字高压表的线路图
采用分压器作为标准器时,在交流电压下检定数字高压表,采用交流分压器;在直流电压下检定数字高压表,采用直流分压器。
标准分压器的准确度应符合检定用标准器配置准确度要求。如果分压器只能在较小的温度单位内保证准确度,应在标准分压器保证准确度所允许的温度范围内进行行检定。同时,标准数字电压表的输入阻抗应大于标准分压器低压端输出阻抗的10/KR%倍。KR是分压器准确度等级的数值。
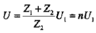
采用电压互感器作标准器检定数字高压表时,按照下图3所示接线。
TV——电压互感器;其他字母含义同上

图示3:采用电压互感器作标准器检定数字高压表的线路图
采用电压互感器作为标准器检定类似于采用分压器作标准器,电压互感器在这里主要是承担类似于标准分压器的分压作用,将原边的高电压,变为副边的低压以满足PV2标准低压表的输入要求。
上一篇:电能质量监测系统构成及功能要求
下一篇:数字多用表的误差描述