测量误差的基本理论
- 浏览次数:9347次
- 发布时间:2014/1/22 17:11:01
- 作者:hb_yinhe
测量是为了确定被测量对象的量值而进行的实验过程。一个量的真实大小称为真值。真值是个理想值,实际测量过程中由于仪器、方法等局限,测量结果往往会和真值存在一定的差异,这种差异称为测量误差。一般情况下,将比当前测量系统还高一级的标准仪器所测量的结果A作为真值。
一、测量误差的表示方法分类
按照表示方法,测量误差通常可以分为绝对误差和相对误差两种。
1、绝对误差
被测量值x与其真值A之差。
2、相对误差
为了弥补绝对误差不能表示测量精度的不足而引入的概念。相对误差有又分为实际相对误差、示值相对误差、引用相对误差等。其定义如下
实际相对误差:
示值相对误差:

引用相对误差:

一般来说,常用的电工仪表分为0.1、0.2、0.5、1.0、1.5、2.5及5.0七级,这类以表示按照rm值来进行分级的。所以给出的是绝对误差的大小。如果某仪器的等级是s级,其满刻度是xm,则测量的绝对误差的上限值为:
而此时相应的示值相对误差的上限值为:
由上式可知,当x越接近xm则 的上限值越小,测量越准确。因此一般应该使得被测量值尽可能的在满量程的三分之二以上。
按照其性质,测量误差可以分为系统误差、随机误差、粗大误差三种
1、系统误差
在相同条件下多次测量同一量时,误差的绝对值和符号保持不变。或在条件改变时,按照一定的规律变化的误差称为系统误差。它的特点是测量条件一旦成立,系统误差就是一个客观恒定的值,多次测量取平均值并不能改变其大小。
2、随机误差
在相同条件下多次测量同一量是,误差的绝对值和符号以不可预定的方式变化的误差。它的特点是在多次测量中绝对误差的波动有一定的界限,即具有有界性;绝对值相等的正负误差出现的机会相等,即具有对称性。当测量次数足够多的情况下,随机误差平均值趋向于零,即具有抵偿性。
3、粗大误差
在一定的测量条件下,测量值明显偏离实际值形成的误差。它歪曲了测量结果,应该在数据分析过程中剔除。
二、测量误差的合成与分配
实际测量中,误差来源于多方面,如测量功率时,需要同时测量电压和电流,然后通过计算得到功率,这样计算出来的功率误差就与电压和电流的测量误差相关。如果某一误差与若干分项有关,该项误差称为总误差,各分项称为分项误差。往往需要从以下几个方面考虑总误差和分项误差的关系。
(1) 如何根据各个分项误差来决定总误差,即所谓误差合成的问题。
(2) 当总的误差被确定后,如何来去顶各个分项误差,即误差分配的问题。
(3) 研究使总误差为最小值的最佳测量方案。
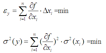
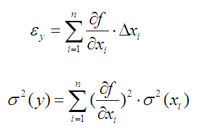
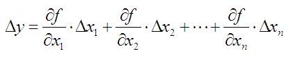
1、 测量误差的合成
设间接测量中某个量y与n个直接测量x1,x2…,xn之间的函数关系为
则有绝对误差表示为(适合函数关系为合差关系):
则相对误差表示为(适合函数关系为积、商、乘方、开方等):
误差的主要组成部分:系统误差和随机误差也遵循以下形式。
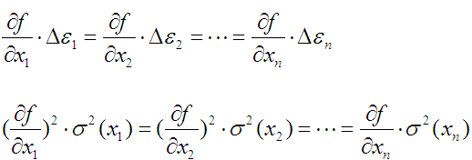
2、测量误差的分配
在给定总误差的前提下,如何来确定各个分项误差的,这类问题在制定测量方案和选购计量仪器时经常会遇到。通常采用两种分配原则:
等准确度原则
分配给各个分项的系统误差和随机误差相等,可分配给各分项的系统误差和随机误差分别为:
等精度原则适用于各个分项性质相同(量纲相同),大小相近的情况。
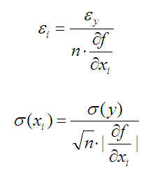
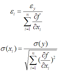
等作用原则
即各分项对测量误差的总的作用是相同的,但给分配的误差在数值上是不相同即:
则有:
三、最佳测量方案的选择
所谓最佳测量方案即:使得总合成误差为最小的测试方案,既要做到:

一般来说,是在了解各分项误差在客观条件下的可能达到的最小值的基础上,比较各种可能方案,找出总的合成误差最小的方案。