当前位置:首页检测中心基础知识 │ 电能质量分析仪三相不平衡度测量误差检定

电能质量分析仪三相不平衡度测量误差检定

  • 浏览次数:9570次
  • 发布时间:2016/8/24 16:24:25
  • 作者:ly_yinhe

  不平衡度指的是三相电力系统中三相不平衡度的程度,用电压或电流负序分量与正序分量的方均根值百分比表示。电网三相不平衡是客观存在的,三相不平衡会直接导致电能传输的损耗增加、电气设备不能正常运行、降低电传动机械设备运行效率等故障发生。因此,电能质量分析仪必须准确评价输电线路的三相不平衡度,下面本文主要介绍标准源法、标准仪器法、负序分析法等几种三相不平衡度测量误差检定方法。

三相不平衡度测量误差检定点选取

  根据被检电能质量分析仪的额定参数选取额定电压、额定电流作为检定点。对于三相电压不平衡度分别在2%和4%进行;对于三相电流不平衡度分别在10%和30%进行。

  三相电压不平衡度为0.2%;

  三相电流不平衡度为1%。

三相不平衡度测量误差检定方法

01标准源法

标准源法三相不平衡度检定示意图

图1:标准源法三相不平衡度检定示意图

  A. 电压不平衡度检定

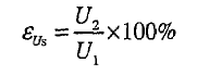
  按照上图所示连接检定系统,按照选取的三相电压不平衡度检定点输出三相电压,得到标准值eUs,从被测电能质量分析仪得到示值eUX。完成试验后,读取记录eUs和eUX,按照下式1计算误差:

子夜无人免费观看……1

  式中:

  ΔeU——三相电压不平衡度误差,%;

  eUX——被检仪器三相电压不平衡度示值,%;

  eUs——三相电压不平衡度标准值,%。

  B. 电流不平衡度检定

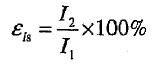
  按照图1所示连接检定系统,按照选取的三相电流不平衡度检定点输出三相电流,得到标准值eIs,从被测电能质量分析仪得到示值eIX。完成试验后,读取记录eIs和eIX,按照下式2计算误差:

子夜无人免费观看……2

  式中:

  ΔeI——三相电流不平衡度误差,%;

  eIX——被检仪器三相电流不平衡度示值,%;

  eIs——三相电流不平衡度标准值,%。

02标准仪器法

标准仪器法三相不平衡度检定示意图

图2:标准仪器法三相不平衡度检定示意图

  按照图2所示连接检定系统,按照选取的三相电压不平衡度检定点输出三相电压,得到标准值eUs,从被测电能质量分析仪得到示值eUX。完成试验后,读取记录eUs和eUX,按照式1计算误差;与三相电压不平衡度检定类似,按照选取的三相电流不平衡度检定点输出三相电流,从标准三相不平衡度测量仪器可以得到标准值eIs,从被检电能质量分析仪可以得到eIX,按照式2可以计算得到三相电流不平衡度的测量误差。

03负序分析法

负序分析法三相不平衡度检定示意图

图3:负序分析法三相不平衡度检定示意图

  A. 电压不平衡度检定

  按照选取的三相电压不平衡度检定点预先设置三相电压源的输出,将标准三相比较仪和被检电能质量分析仪设置在适当的电压量程。三相电源输出电压信号,从标准的三相比较仪得到Ua、Ub、Uc和φa、φb、φc,从被检电能质量分析仪可得到eUX。按下式3计算三相电压不平衡度标准值,按式1计算三相电压不平衡度的误差:

子夜无人免费观看……3

子夜无人免费观看……4

子夜无人免费观看……5

  式中:

  eUs——三相电压不平衡度标准值,%;

  U2——三相电压的负序分量,V;

  U1——三相电压的正序分量,V;

  Ua——三相比较仪的A相电压值,V;

  Ub——三相比较仪的B相电压值,V;

  Uc——三相比较仪的C相电压值,V;

  Φa——三相比较仪的A相电压的相位,(°);

  Φb——三相比较仪的B相电压的相位,(°);

  Φc——三相比较仪的C相电压的相位,(°)。

  B. 电流不平衡度检定

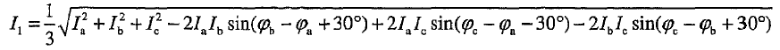
  按照选取的三相电流不平衡度检定点预先设置三相电流源的输出,将标准三相比较仪和被检电能质量分析仪设置在适当的电流量程。三相电源输出电流信号,从标准的三相比较仪得到Ia、Ib、Ic和φa、φb、φc,从被检电能质量分析仪可得到eIX。按下式6计算三相电流不平衡度标准值,按式2计算三相电压不平衡度的误差:

子夜无人免费观看……6

子夜无人免费观看……7

子夜无人免费观看……8

  式中:

  eIs——三相电流不平衡度标准值,%;

  I2——三相电流的负序分量,V;

  I1——三相电流的正序分量,V;

  Ia——三相比较仪的A相电流值,V;

  Ib——三相比较仪的B相电流值,V;

  Ic——三相比较仪的C相电流值,V;

  Φa——三相比较仪的A相电流的相位,(°);

  Φb——三相比较仪的B相电流的相位,(°);

  Φc——三相比较仪的C相电流的相位,(°)。

原文:/NewsDetail-1948.aspx转载务必带链接注明出处,未注明必追究责任!

Copyright 2010-2017 , All Rights Reserved 子夜无人免费观看 版权所有 湘ICP备09002592号-5