电能质量术语和计算公式
- 浏览次数:15651次
- 发布时间:2014/9/27 22:34:52
- 作者:hb_yinhe
根据《DL T 1194-2012 电能质量术语》对电能质量的定义,电能质量是指关系到供用电设备正常工作(或运行)的电压、电流的各种指标偏离规定范围的程度。
WP4000变频功率分析仪电源质量功能提供三相对称分析和谐波运算相关参数。以下是相关参量的定义和计算公式:
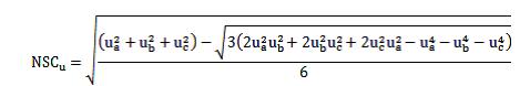
1、不平衡度
WP4000变频功率分析仪定义三相不平衡度为在一个周期内最大值与最小值之差与三相平均值的比值。

2、正序分量
将不平衡的三相系统的电量按对称分量法分解后其正序对称系统中的分量。(GB/T15543-2008定义)


3、负序分量
将不平衡的三相系统的电量按对称分量法分解后其负序对称系统中的分量。(GB/T15543-2008定义)


4、谐波失真(THD)
谐波失真是指谐波含量的方均根值对交流量的基波分量或基准基波分量的方均根值之比。

5、波形畸变率(K)

6、谐波含量HC(harmonic content)
DIN标准定义:

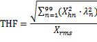
7、电话谐波因数(THF)
根据全国科学技术名词审定委员会规定,
电话谐波因数(THF)就是指电压波形中基波及各次谐波有效值加权平方和的平方根值与整个波形有效值的百分比。

8、谐波电压因数(HVF)
谐波电压因数谐波电压因数是指对电源电压波形的正弦性的度量,又称为HVF值。HVF重点考核低次谐波,只考核5、7、11、13四次谐波,且每次谐波均以谐波次数的倒数做加权系数。
