当前位置:首页检测中心基础知识 │ 直流数字电流表检定方法简介

直流数字电流表检定方法简介

  • 浏览次数:10418次
  • 发布时间:2016/10/31 16:55:58
  • 作者:ly_yinhe

  直流数字电流表是一种的直流电流测量用的数字仪表,在日常的生产生活中应用广泛。直流数字电压表是直流数字电流表的主体,直流数字电流表是通过直流电流——电压(I/V)变换器,将电流量转换成电压量再用直流数字电压表进行数字化测量,显示单位一般是A或mA。下面本文主要根据直流数字电流表检定规程介绍其检定相关内容。

直流数字电流表检定点的选取原则

  对于采用基本量程衡量一台直流数字电流表性能好坏的关键量程,应比较详细地检定。若考虑被检表的线性误差,应均匀地选取误差测试点。

  非基本量程的测试点要考虑上下量程的连续性及对应于基本量程的最大误差点。

  综合考虑,基本量程一般选取5~10个检定点,非基本量程取3~5个检定点。正、负极性可分别选取相对应的检定点,也可以只检定每个量程的负满量程点。

直流数字电流表误差和准确度等级

01用两项误差之和所表示的绝对误差

子夜无人免费观看

  式中:

  Ix——被检表的读数值(显示值);

  Im——被检表的满量程值;

  a——与读数值有关的误差系数;

  b——与满量程值有关的误差系数。

02用绝对误差Δ与被检表读数值Ix之比的相对误差

子夜无人免费观看

03准确度等级

  直流数字电流表的准确度等级分为:0.001,0.002,0.005,0.01,0.02,0.05,0.1,0.2,0.5,1.0等十个等级。表1给出了直流数字电流表十个级别的等级指标。直流数字电流表是多量程仪表,对于不同量程允许有不同的准确度指标。

直流数字电流表的级别

表1:直流数字电流表的级别

直流数字电流表误差检定方法

01直流标准电流源法

直流标准电流源法校准直流数字电流表

图1:直流标准电流源法校准直流数字电流表

  采用直流标准电流源法对直流数字电流表校准如图1所示。设直流标准电流源输出的标准电流为IN,即实际值。被检表的显示读书为Ix,则被检表的绝对误差为:

子夜无人免费观看

  被检表的相对误差用百分数表示为:

子夜无人免费观看

  这种检定方法简便、速度快,适合于工厂大量地校验直流数字电流表,其检定误差主要取决于直流标准电流源。

02直接比较法

比较法校准直流数字电流表

图2:比较法校准直流数字电流表

  当标准电流源的准确度不能满足要求,而电流稳定度较高时,可作为一般稳流源使用,配上标准数字电流表,用比较法进行检定。比较法电路接法如图2所示,即用一台直流标准数字电流表(或具有电流功能的标准DMM)与被检电流表串联后接到直流电流源(稳定度应足够高)的输出端。设标准表的显示值(实际值)为IN,被检表显示值为Ix,则被检表的绝对误差为:

子夜无人免费观看

  同样被检表的相对误差用百分数表示为:

子夜无人免费观看

  一般情况下,标准表的位数应比被检表多一位。当两者量程不一致时,可加上标准分流器。用这种方法,一定要保证标准表准确可靠。为此,必须对标准表进行定期的检定和校准。

03直流标准仪器法

直流标准仪器法校准直流数字电流表

图3:直流标准仪器法校准直流数字电流表

  原则上,利用标准电阻将电流量转换成电压量的任何测量方法都可以用于数字电流表的检定。图3给出了用标准电位差计和标准电阻检定直流数字电流表的接线图。

  图中RN为标准电阻,数字电流表或被测DMM的电流功能档的输入高端与标准电阻串联,并用标准电位差计测量标准电阻电位端钮间的电压。电位差计指示值与标准电阻值之比即为被检表的电流实际值。

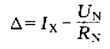
  设测得标准电阻两端电压实际值为UN,标准电阻实际值为RN,被检表显示值为IX,则回路电流实际值为:

子夜无人免费观看

  被检表的绝对误差为:

子夜无人免费观看

  同样被检表的相对误差用百分数表示为:

子夜无人免费观看

  采用这种检定方法时,不仅标准电阻RN的误差符合要求,还应注意选取适当的阻值,使其通过的电流不超过其额定工作电流,而又可以获得能进行准确测量的电压数值。既要求考虑在RN上的压降不高于所用电位差计的测量上限,又应保证电位差计第一个十进盘有大于零的示值。

04标准数字电压表法

标准数字电压表法校准直流数字电流表

图4:标准数字电压表法校准直流数字电流表

  当有一个误差小于被检直流数字电流表允许1/3~1/5的标准直流数字电压表,用它代替标准电位差计可以迅速方便地检定直流数字电流表,接线如图4所示。

  这种检定方法,同样要注意标准电阻的取值。根据被检直流数字电流表所选取的检定点,既保证回路电流要尽量小于额定电流,又要考虑标准直流数字电压表的读书尽量接近其满量程值。同时,由于直流数字电压表输入电阻不是足够高而引起的附加误差应小于运行误差的1/5以下。为满足对RN的要求,需要用一组过渡电阻或标准十进电阻值,必要时要放在恒温油槽中进行控温。用分流器附件扩展量程到10A(或20A)的直流数字电流表,其附件也应一起进行检定。

原文:http:/NewsDetail-2014.aspx转载务必带链接注明出处,未注明必追究责任!

Copyright 2010-2017 , All Rights Reserved 子夜无人免费观看 版权所有 湘ICP备09002592号-5