当前位置:首页检测中心基础知识 │ 继电保护测试仪直流电流输出校准简介

继电保护测试仪直流电流输出校准简介

  • 浏览次数:5429次
  • 发布时间:2016/12/10 18:00:53
  • 作者:ly_yinhe

  继电保护测试仪直流电流输出校准是一项中要的检测项目,对其直流电流输出就行校准可以更加精准的实现对继电保护设备检测工作。下面本文主要根据继电保护测试仪检定规范介绍其直流电流输出相关误差限值要求及校准操作。

继电保护测试仪直流电流输出误差限值

01输出直流电流幅值可调范围

  继电保护测试仪直流电流输出幅值的可调范围为0~20A,其中:

  下面本文主要根据继电保护测试仪检定规范介绍其直流电压输出相关误差限值要求及校准操作。

  ——输出电流的幅值为I≤10A,其变化的最小步长为2mA;

  ——输出电流的幅值为10A<I≤20A时,其变化的最小步长为10mA。

02输出直流电流的纹波

  当继电保护测试仪输出直流电流为0~20A时,直流电流中的交流分量的峰-峰值应不大于输出设定值的1%。

03直流电流输出的响应时间

  被试继电保护测试仪接通及断开直流电流时的响应时间应小于1ms。

  注:响应时间为电流值由10%电流值上升至90%电流值或由90%电流值下降至10%电流值的时间。

继电保护测试仪直流电流输出校准

01直流电流输出幅值误差

  继电保护测试仪直流电流的校准接线示意图如图1所示。

直流电流校准接线示意图

图1:直流电流校准接线示意图

  分别设置测试仪输出直流电流(直流电流的输出校准点可选0.2A、0.5A、1A、5A、10A、15A),用校准标准分别测试直流电流输出值误差。

02输出直流电流的纹波系数

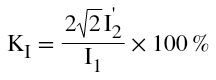
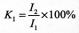
  设置继电保护测试仪输出直流电流,用直流电流表测量直流电流值I1和用峰-峰值电流表测量交流分量的峰-峰值I2(如图2所示),计算直流电流的纹波系数KI。

子夜无人免费观看

  当使用有效值电流表测量交流分量I2时,直流电流的纹波系数KI应为

子夜无人免费观看

  式中:

  I’2——交流分量有效值。

直流电流的纹波系数测量接线图

图2:直流电流的纹波系数测量接线图

03输出直流电流的响应速度

  设置继电保护测试仪三种试验状态为:

  第一种状态:输出直流电流为0;

  设置继电保护测试仪三种试验状态为:

  第三种状态:输出直流电流为0.

  试验时,被试继电保护测试仪的试验状态由第一种状态进入第二种状态,再由第二种状态进入第三种状态。试验过程中,测试仪输出的直流电流由0突升至设定值,再由设定值突降至0。用数字存储示波器记录试验过程中测试仪输出直流电流的波形,在波形图上测量直流电流由10%上升到90%电流值或由90%下降到10%电流值的时间。


Copyright 2010-2017 , All Rights Reserved 子夜无人免费观看 版权所有 湘ICP备09002592号-5