当前位置:首页检测中心基础知识 │ 继电保护测试仪直流电压输出校准简介

继电保护测试仪直流电压输出校准简介

  • 浏览次数:5562次
  • 发布时间:2016/12/8 17:11:14
  • 作者:ly_yinhe

  继电保护测试仪的直流电压输出校准是一项中要的检测项目,对其直流电压输出进行校准可有效保障继电保护设备的检试验工作准确有效进行。下面本文主要根据继电保护测试仪检定规范介绍其直流电压输出相关误差限值要求及校准操作。

继电保护测试仪直流电压输出误差限值

01输出直流电压基本误差限值

  继电保护测试仪的电压输出幅值为0~300V,输出直流电压幅值的变化最小步长应为10mV。在额定工作条件下,继电保护测试仪的输出电压幅值基本误差满足以下条件:

  ——在0~5V范围内,基本误差应不超过±25mV;

  ——在5V~300V范围内,基本误差应不低于±0.5%。

02输出直流电压的纹波

  当继电保护测试仪输出直流电压为0~300V时,直流电压中的交流分量的峰-峰值应不大于输出设定值的1%。

03直流电压输出的响应时间

  被试继电保护测试仪接通及断开直流电压时的响应时间应小于1ms。

  注:响应时间为电压值由10%电压值上升至90%电压值或由90%电压值下降至10%电压值的时间。

继电保护测试仪直流电压输出校准

01直流电压输出幅值误差

  继电保护测试仪直流电压的校准接线示意图如图1所示。

直流电压校准接线示意图

图1:直流电压校准接线示意图

  分别设置测试仪输出直流电压(直流电压的输出校准点为5V、30V、90V、150V、200V、250V),用校准标准分别测试直流电压输出值误差。

02输出直流电压的纹波系数

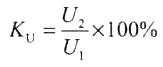
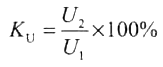
  设置继电保护测试仪输出直流电压,用直流电压表测量直流电压值U1和用峰-峰值电压表测量交流分量的峰-峰值U2(如图2所示),计算直流电压的纹波系数KU。

子夜无人免费观看

  当使用有效值电压表测量交流分量U2时,直流电压的纹波系数KU应为

子夜无人免费观看

  式中:

  U’2——交流分量的有效值。

直流电压的纹波系数测量接线图

图2:直流电压的纹波系数测量接线图

03输出直流电压的响应速度

  设置继电保护测试仪三种试验状态为:

  第一种状态:输出直流电压为0;

  第二种状态:输出直流电压为测试仪所能输出的最小电压值Umin或最大电压值Umax;

  第三种状态:输出直流电压为0。

  试验时,被试继电保护测试仪的试验状态由第一种状态进入第二种状态,再由第二种状态进入第三种状态。试验过程中,测试仪输出的直流电压由0突升至设定值,再由设定值突降至0。用数字存储示波器记录试验过程中测试仪输出直流电压的波形,在波形图上测量直流电压由10%上升到90%电压值或由90%下降到10%电压值的时间。


Copyright 2010-2017 , All Rights Reserved 子夜无人免费观看 版权所有 湘ICP备09002592号-5