

由数学可知,一个正弦量与时间的函数关系可以用它的频率、初相位和振幅三个量来表示它的基本特征,这三个量叫正弦量的三要素。对于一个正弦交流电来说,也可以由这三要素来唯一决定。一个正弦交流电流,其数学表达式为


式中i表示交流电流的瞬时大小,称为瞬时值。Im表示正弦电流振幅的大小,称为最大值。ω表示正弦电流的角频率,φ0表示正弦电流的初相位。ω、φ0及Im是表示正弦交流电的三要素,也是区分不同正弦电流的依据。
正弦交流电完成一次周期性变化所用的时间叫周期,用T表示,它是波形重复出现的最短时间。单位时间内正弦交流电完成周期性变化的次数叫频率,用f表示,单位:赫兹(Hz)。它与周期的关系

我国及其他多数国家发电厂发出的交流电的频率为50Hz,通常称为“工频”,也有的国家采用60Hz的。其它技术领域里应用着不同频率的交流电,如航空工业用的交流电为400Hz,电子技术里应用的音频电流约是20Hz~20KHz。
正弦交流电变化一个周期,相当于正弦函数变化了2π个弧度,称之为电角度。单位时间内交流电变化的电角度称为电角速度,亦称角频率,用ω表示。那么


由此可见,用角频率也表示交流电变化的快慢。单位:弧度/秒(rad/s)。
1. 瞬时值
交流电在任一时刻的实际值叫做瞬时值,瞬时值只从随时间变化的关系上说明某一时刻正弦量的大小。规定交流电的瞬时值一律用英文小写字母表示,如i、u、e分别表示交流电流、电压和电动势的瞬时值。
2. 最大值(幅值)
交流电在变化过程中所出现的最大瞬时值叫做最大值(幅值),它是正弦交流电的振幅。交流电幅值通常用英文大写字母加下标m表示,如用Im、Um、Em分别表示交流电流、电压和电动势的最大值。
3. 有效值
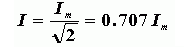
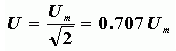
一个交流电流的作功能力相当于某一数值的直流电流的作功能力,这个直流电流的数值就是该交流电的有效值。如图所示,在同一个电阻R中分别通以交流电和直流电,在相同的时间内产生的热量相同,我们就说这两个电流等效,这个直流电流的数值就是该交流电流的有效值。即交流电的有效值就是与它平均耗能相等的直流电的值。通常用英文大写字母不加下标表示,如用I、U、E分别表示交流电流、电压和电动势的有效值。

根据焦耳定律,交流电流在一个周期内产生的热量为

直流电流在一个周期内产生的热量为

根据有效值的定义,两种电流产生的热量相等,即

由此得交流电流的有效值

设交流电流为i=Imsinωt,代入上式,得



在电工测量中,常用的交流电压表、电流表测得的数值都是有效值,交流电设备铭牌上标注的也是有效值。
1. 相位和初相位
交流电在随时间变化的过程中,不同时刻对应着不同的电角度,从而得到不同的瞬时值,所以正弦交流电中的反映了正弦量在交变过程中瞬时值的变化进程。我们把叫正弦交流电的相位(或相位角)。当时,正弦量的相位叫初相位。
2. 相位差
两个同频率的正弦交流电在任一时刻相位角之差称为相位差。设两个同频率的正弦交流电分别是


它们之间的相位差角是

如果一个正弦量比另一个正弦量先达到正的最大值或零值,那么在相位上就说前者“超前”后者,或者说后者在相位上“落后”于前者。若,则比超前角(或比落后角);若,则比落后角(或比超前角)。
如果两个正弦量的初相位相同,即,我们称和同相;如果两个正弦量的初相位相反,即,我们称和反相。