当前位置:首页检测中心基础知识 │ 非正弦交流电有功功率的计算

非正弦交流电有功功率的计算

  • 浏览次数:11785次
  • 发布时间:2015/10/6 19:59:54
  • 作者:ljl_yinhe

正弦交流电有功功率

  有功功率的计算,最常用的公式为:

1    (1)

  U、I分别为正弦交流电的有效值,φ为电压与电流信号的相位差。

  但是公式(1)只有在电压、电流为正弦波的情况下才适用。那对于非正弦交流电的有功功率该如何计算呢?

非正弦交流电有功功率计算公式

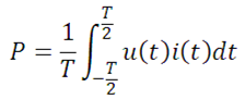
  首先来看有功功率的定义:

  在交流电路中,有功功率是指一个周期内发出或负载消耗的瞬时功率的积分的平均值(或负载电阻所消耗的功率),因此,也称平均功率。

  从有功功率的定义可以得到一个关于有功功率普遍适用的计算公式:

2    (2)

  所以公式(2)适用于正弦交流电、非正弦交流电有功功率的计算。实际上,公式(1)也是由公式(2)积分计算得到的。

周期非正弦交流电有功功率计算公式

  我们知道,对于电参量测量遇到的周期非正弦信号,都可以用傅里叶变换,将其表示成各种不同频率正弦和/或余弦信号的叠加,从而进行相关的频谱分析等。

  所以从电压、电流分别分解得到的基波及谐波的角度,同样可以进行有功功率的计算,将公式(2)中的电压、电流进行傅里叶变换得到:

3    (3)

  un、in为n次谐波电压、谐波电流。

  对式子(3)进行化简(见下面解释)得到周期非正弦交流电有功功率的另外一种计算公式形式:

4    (4)

  该公式表述为:原周期非正弦交流电的有功功率等于分解后的直流分量有功功率、1次谐波分量(基波)有功功率、2次谐波分量有功功率……n次谐波分量有功功率之和。

  对于周期非正弦信号,除了适用公式(2),还适用公式(4)。

对于公式(4)的解释

  1、为什么是P=UIcosφ的形式?

  因为原周期非正弦的电压、电流信号已经分解为正弦/余弦形式的不同频率谐波的叠加,所以其有功功率计算公式的形式为P=UIcosφ。

  2、为什么只有同频率谐波电压、谐波电流参与计算?

  因为正弦波具有正交性,也就是任意两个不同频率的正弦波的乘积,在两者的公共周期内的积分等于零,所以电压、电流分解后得到的不同频率的谐波之间乘积再积分为零。相同频率谐波电压、谐波电流之间的乘积再积分后的值相加,得到公式(4)。


Copyright 2010-2017 , All Rights Reserved 子夜无人免费观看 版权所有 湘ICP备09002592号-5