

有效值主要用于衡量交流电压、交流电流的幅值大小,出发点是热效应与直流电相同。有效值具体定义如下:
电压有效值:在相同的电阻两端分别施加直流电压和交流电压,经过一个交流电压周期的时间,如果它们在电阻上所消耗的电能相等的话,则把该直流电压的幅值作为交流电压的有效值。
电流有效值:在相同的电阻中分别通过直流电流和交流电流,经过一个交流电流周期的时间,如果它们在电阻上所消耗的电能相等的话,则把该直流电流的幅值作为交流电流的有效值。
正弦电压、电流有效值等于其最大值(幅值)的1/√2,约0.707倍。
对于非正弦周期电压、电流信号,可以通过傅里叶变换的方式分解为直流分量、基波分量和各次谐波分量,其中,基波分量和谐波分量均为正弦信号。
有效值的计算方式有两种:
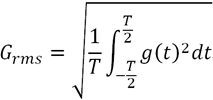
一有效值的时域计算公式
有效值等于其瞬时值在一个周期内的方均根值。

注:G和g可以表示电压和电流。
二有效值的频域计算公式
有效值等于直流分量、基波分量及所有谐波分量的有效值的方和根。

注:G可以表示电压和电流,Gh表示电压或电流的h次谐波,h=0时,为零次谐波,表示直流分量,h=1时,为一次谐波,表示基波。
三有效值的其他的定义
由于有效值在数值上等于瞬时值的方均根(Root mean square),也称方均根值,通常采用符号rms表示。WP4000变频功率分析仪中用Urms和Irms表示电压有效值和电流有效值。
就定义角度看,有效值的“有效”有等效的意思。因为交流电的瞬时幅值是变化的,用有效值可以反映交流电对电阻负载的平均做功能力。
然而,有效值的方均根计算方式电路实现较为复杂。为了简化电路,某些仪器仪表往往利用正弦波的峰值或整流平均值与有效值的换算关系,采用峰值检波电路或均值检波电路,先测量出峰值,再乘以对应的系数转变为有效值。传统的毫伏表、微安表、电压表、电流表、万用表等等大多采用这种方法。其中峰值转变为有效值的系数为0.707,而整流平均值转变为有效值的系数为1.1107。采用均值检波法得到的有效值,也称校准到有效值的整流平均值,简称校准平均值,在WP4000变频功率分析仪中,采用Umean和Imean表示电压校准平均值和电流校准平均值。
峰值检波法或均值检波法利用了正弦波的峰值、整流平均值与有效值的换算关系,因此,这类方法只适合正弦信号的有效值测量(详见“均值检波、峰值检波及方均根检波电路原理及区别”)。对于非正弦信号,测量得到的“有效值”不准确。为了区分这种有效值与严格依照有效值定义得到的有效值的区别,后者也称为真有效值,采用Trms表示,其中,T是Ture的缩写,意为“真正的”。
长期以来,人们已经习惯用有效值表示交流电量的幅值大小。然而,对于非正弦交流电而言,有时,有效值的意义不是很大,例如,富含谐波的SPWM电压的有效值,同时包含了基波和谐波的影响。问题是,对于电机负载而言,真正有效的,主要是其中的基波分量,即:用基波分量的方均根值——基波有效值衡量SPWM电压的幅值,具有更大的现实意义。
IEC60349-2规定电机端电压为端电压的基波有效值。
由于基波也称为一次谐波(harmonic),WP4000变频功率分析仪中用Uh01和Ih01表示基波电压有效值和基波电流有效值。
为了区分有效值和基波有效值,有时也称有效值为全波有效值或全有效值。
对于正弦波而言,基波有效值、有效值、真有效值、全波有效值及校准平均值在数值上全部相等,可不作区分。对于SPWM波而言,其校准平均值与基波有效值非常接近,在要求不高的场合中,可替代基波有效值。对于其它非正弦电量,上述几个概念需要慎用!