当前位置:首页产品问答 │ 牵引电气传动试验台对测控系统有哪些技术要求?

牵引电气传动试验台对测控系统有哪些技术要求?

  • 浏览次数:10586次
  • 发布时间:2013/10/1 8:22:38
  • 作者:量值溯源

一、关于牵引电气测量

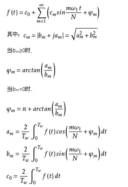
  由于变频器输出的SPWM波形的谐波集中在载波频率整数倍频率附近,假设载波频率为fc,基波频率为fs,那么,谐波可以表示为mfc±nfs。fc/fs称为载波比,当载波比不是整数时,mfc±nfs不能被fs整除,输出包含间谐波。要对基波有效值及谐波进行准确的、稳定的测量,前提是变频器输出为稳定的周期信号(傅里叶变换针对周期信号)。实际上由于牵引变频器的开关频率较低,当开关频率不是基波频率整数倍时,其输出信号不是周期信号。牵引变频器显示的基波有效值(接近理论值)与实际测量结果一致的前提是开关频率(载波频率)足够高(至少大于基波频率的20倍)。牵引变频器的开关频率往往低于1KHz,而基波频率较高,所以并不满足该条件。
  通常的谐波测量仪器使用傅立叶变换的方法进行谐波分析,而傅立叶变换的前提是假定所有的周期波形都是相同的,从这个角度讲,傅立叶变换只适用于整数次谐波的分析。对于包含间谐波的信号,每个相邻周期(基波周期)的信号可能不同,也就是说,信号是变化的,当变化满足一定的规律时,比如说,每N个基波周期变化重复一次。我们可以将N个基波周期视为一个周期,这样,信号就是周期信号了。对该周期信号取N个基波周期进行傅里叶变换,可以得到下述表达式:
  牵引电气测量

  ω1为基波角频率,ω1=2πf1,f1为基波频率,T1=1/f1为基波周期。Tw为傅里叶时间窗的宽度(持续时间),Tw=NT1。c0为直流分量。cm为频率fm=mf1/N的正弦分量的幅值。当m/N为整数时,该正弦分量为称为谐波,当m/N为非整数时,该正弦分量称为分数次谐波,也就是间谐波。
  国标GB/T24337-2009《电能质量公用电网间谐波》规定了公用电网谐波的限值及测量方法。若测量仪器可以对傅里叶时间窗的基波周期数进行选择,当对应的N较大时,可以准确测量间谐波。N越大,可分析的间谐波的频率越低。

二、中控台技术要求

  中控台是试验站的“大脑与中枢神经系统”,承担着整个试验站的信息获取、分析、管理、系统协调控制及系统保护的职能,其性能指标至关重要。

1.工艺要求

  1.中控台外型美观,符合优质人机工程学设计,使用舒适;具备充足的设备摆置和安装空间及维护入口;

  2.布线方便,符合安全规范,具备良好的EMC性能。

2.功能要求

  1.中控台需集成系统保护与告警(保护策略与告警门槛值可定义)、自动化试验控制、数据监测、数据采集与分析、数据存储及检索等基本功能。

  2.中控台设备与测控系统独立供电,能够保证不断电连续工作且能实现集中控制。

  3.中控台具备良好的通用性及可扩展性(软件及硬件接口)

  4.中控台可通过测控总线与试验子系统(辅助参量在线监测系统、试验过程控制系统、分布式I/O、电能测试系统等)通讯,总线速率需满足数据采集、传输的高速和实时性要求。

  5.中控台需满足高可靠性、稳定性运行要求

3.软件要求

  1. 易于操作的、美观的高仿真主控系统人机界面;

  2.可实现试验系统的开、闭环控制;

  3.故障报警保护功能,如过热报警、过压过流保护等;

  4.可编程的紧急停机功能;

  5.各种被测量可以波形显示、趋势显示并记录归档,如电压、电流、功率的实时波形及趋势曲线。

  6.实时显示谐波数据表和谐波图谱,试验所需要的各次谐波功率计算;

  7.系统可根据设定的报警门限值作相应的报警提示和动作响应;

  8.在线监测试验线路中关键元器件的工作状态,能自动判断其工作状态是否正常(包括动作与通讯状态),并及时提示;

  9.主控系统实时显示主回路中关键设备的运行工况,试验过程控制可以手动也可以在试验台全自动完成。

  10.自动记录试验过程数据,并生成试验报表及相应的曲线图;

  11.全程记录试验数据到数据库。用户可以设定记录的起终止时间,系统也可自动启动对信号的记录。记录的数据可以用其他专用软件进行后期分析;

  12.软件含准确度补偿和自校准功能,可自行设置比例系数;

  13.具有事件记录、故障记录功能;

  14.试验数据设置专用数据库,数据库可按用户要求存储海量信息。用户按分级权限管理,数据库具有便捷的本地查询功能,查询方式多样化(如按时间查询、按被试品序列号查询等)数据库支持向任意个接入终端提供数据,可提供统一的API接口和协议供用户二次开发使用。

  15.数据库具有友好的、开放的接口,通过权限设置,可支持远程访问,实现数据资源共享。

牵引电气传动试验台

银河电气牵引电气传动试验台

三、测控系统技术要求

1.性能要求

  1.测试系统可实现各种被测量(电量、非电量)的测试需求,且能方便实现关联量的同步测量。

  2.测试系统和控制终端设备须在技术原理上能保障系统在复杂电磁环境下依然保持标称的性能指标;优先采用数字接口、光纤传输的测量设备。

  3.为方便外围设备接入,系统设计时应预留一定数量的AI、AO、DI、DO通道。

  4.测试系统或测量仪器应方便溯源和周期检定,组合式的测试系统应提供能证明其整体系统性能指标全范围(幅值、频率、相位)满足试验要求的证明材料。(法定计量机构出具的校准证书、现阶段计量技术条件不能涵盖的指标可出具经广泛认可的有权威性的资料作为证明参考材料。)

  5.主电量测量设备投入使用前须进行过严格的测量通道校准,并提供法定计量机构出具的校准报告、检定证书或符合上一条规定的证明材料,其它辅助参量测量及I/O产品提供生产企业出具的质检报告。

  6.测试系统应具有合理的带宽、多种测量模式(必须含有基波有效值测量模式)、高波形因素、不低于100次的谐波分析功能、采样速率及通讯速率能满足高速实时动态参数测试需要。

  7.鉴于牵引电气测量呈现的特殊性(输出信号呈现较强的非周期性,包含间谐波),常规功率分析仪器在测量包含间谐波信号的电量时,同步采样困难,其测量准确度将严重偏离标称准确度指标,因此在仪器运算能力足够的前提下,优先采用能够对傅里叶时间窗的基波周期数进行选择、具有DFT分析功能的仪器。

2.测量准确度及带宽要求

  1.主电量测量带宽要求:电压测量通道50kHz;电流测量通道:10kHz

  2.主电量基波频率测量范围:DC或0.1---200Hz

  3.主电量电压/电流测量系统(含仪表及传感器)准确度:幅值、基波频率、相位变化的全部范围内,0.2%rd。该准确度指标适用正弦波测量和非正弦波的基波测量。

  4.主电量功率测量系统(含仪表及传感器)准确度:功率因数0.2—1,0.5%rd;功率因数0.05--0.2,1%rd。该准确度指标适用正弦波测量和非正弦波的基波测量。

  5.辅助电量电压/电流测量准确度:0.5%fs

  6.辅助电量功率测量准确度:1%fs

  7.温度测量准确度:0.1%rd±0.5℃(-40---400℃)。

  8.扭矩测量准确度:不低于0.5%,转速测量准确度不低于0.1%,要求与电功率同步测量。



Copyright 2010-2017 , All Rights Reserved 子夜无人免费观看 版权所有 湘ICP备09002592号-5