

三相不平衡度算法有多种,目前并没有统一的标准,根据不同的算法得出的结果也会有所差异,本文列举出不同算法的计算方法供大家参考。
三相电压不平衡度包括三相电压零序不平衡度和三相电压负序不平衡度,分别为零序分量与正序分量的比值及负序分量与正序分量的比值。
(1)
(2)
(3)
(4)
(5)
注:
表示三相电压零序不平衡度,
表示三相电压负序不平衡度,
分别表示三相电压的零序分量、正序分量和负序分量。
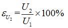
在三相三线制系统中,没有零序分量。对于没有零序分量的三相系统,国标推荐的三相不平衡度的简化计算方法如下:
(6)
(7)
注:ε2表示三相负序不平衡度,a、b、c分别表示三相电压或电流的基波分量的有效值。
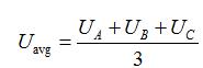
IEEE std 936-1987定义的电压不平衡度为相电压不平衡率(PVUR),PVUR等于三相相电压中的最大方均根电压与最小方均根电压的差值与平均相电压方均根值的比值:
(8)
(9)
注:UA、UB、UC分别为三相相电压的有效值(不是基波分量有效值,但在电网中,电压的有效值与基波分量有效值非常接近,实际运算也可用基波有效值替代)。
IEEE std 112-1991定义的电压不平衡度为相电压不平衡率(PVUR),PVUR等于三相相电压方均根值与三相相电压方均根值的平均值之差的最大值与三相相电压方均根值的平均值的比值:
(10)
(11)
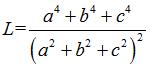
NEMA定义的电压不平衡度为线电压不平衡率(LVUR),LVUR的定义与IEEE std 112-1991类似,只不过将相电压换为线电压:
(11)
(12)
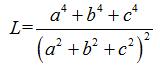
国际大电网委员会定义的电压不平衡度为线电压不平衡率(LVUR),其计算式与国标简化计算方法相同:
(13)
(14)
因为线电压必定不包含零序分量,因此,国标的简化算法与GIGRE算法是完全相符的,实际上都是属于对称分量法在不含零序分量时的推导结果,因此,可以看作是国标的特例。