当前位置:首页检测中心基础知识 │ 表征交流电压大小的三个基本参量是什么?

表征交流电压大小的三个基本参量是什么?

  • 浏览次数:9434次
  • 发布时间:2019/3/31 14:26:46
  • 作者:银河电气

  峰值、平均值和有效值是表征交流电压大小的三个基本参量,那什么是交流电压的峰值、平均值和有效值?

什么是交流电压的峰值?

  如图1所示,峰值表示以零电平为参考的最大电压幅值(用VP表示),以直流分量为参考的最大电压幅值则称为振幅(通常用Um表示)。对理想的正弦交流电压正弦交流电压,由于VP=Um,故理想正弦交流电压常用正弦交流电压表示。

根据交流电压波形计算基本参量

图1 根据交流电压波形计算基本参量

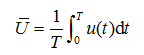
什么是交流电压的平均值?

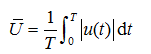
  如图1所示,交流电压的平均值在数学上定义为

交流电压的平均值

  式中,为交流电压的周期;子夜无人免费观看 相当于交流电压u(t)的直流分量。

  在交流电压测量中,平均值通常指经过全波或半波整流后的波形(一般若无特指,均为全波整流)

交流电压测量

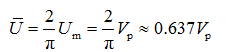
  对理想的正弦交流电压子夜无人免费观看,若 子夜无人免费观看,则

理想的正弦交流电压

什么是交流电压的有效值?

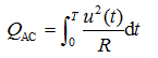
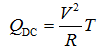
  交流电压u(t)在一个周期内,通过某纯电阻负载所产生的热量,与一个直流电压 在同一负载上产生的热量相等时,则该直流电压的数值就表示了交流电压u(t)的有效值。下面给出有效值的具体定义。

  直流电压内电阻上产生的热量

子夜无人免费观看

  交流电压内电阻上产生的热量

子夜无人免费观看

  由子夜无人免费观看得,

子夜无人免费观看

  有效值在数学上即为均方根值,是表征交流电压的重要参量。对理想的正弦交流电压子夜无人免费观看 ,若子夜无人免费观看 ,则

子夜无人免费观看

Copyright 2010-2017 , All Rights Reserved 子夜无人免费观看 版权所有 湘ICP备09002592号-5