

GB/T 2900.1-2008 电工术语 基本术语 3.1.9定义,算术平均值指在规定时间间隔内一个量的各瞬时值的平均值。对于周期量,时间间隔为一个周期。算术平均值有时简称为均值或算术均值。
对于n个量X1,X2,……,Xn,算术平均值等于各量之和除以n的商:
![]()
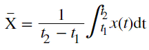
对于依赖于一个变量的量,算术平均值等于在该变量的两个给定值之间的积分除以此值之差的商:

几何平均数(geometric mean)是指n个观察值连乘积的n次方根。

几何平均值是相对于正数而言的,也就是说上面的X1,X2,..Xn必须是正数。
校准平均值定义是:修正值平均值也称校准到有效值的整流平均值,简称校准平均值(mean)。顾名思义,就是将整流平均值乘以一个系数,使其结果等于该信号的有效值。
正弦波的波形因数为π/2√2≈1.1107。
校准平均值≈1.1107*整流平均值。
由于其修正系数的基于正弦波获取的,校准平均值等于有效值只有在被测信号为正弦波时才成立。所以该方法不能适用于所有信号。因此,采用均值检波法的万用表,不能用于测量非正弦波的有效值。
加权平均值即将各数值乘以相应的权数,然后加总求和得到总体值,再除以总的单位数。
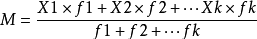
设原始数据为被分成K组,各组的组中的值为X1,X2,...,Xk,各组的频数分别为f1,f2,...,fk,加权算术平均数的计算公式为:
![]()
平均数的大小不仅取决于总体中各单位的标志值(变量值)的大小,而且取决于各标志值出现的次数(频数),由于各标志值出现的次数对其在平均数中的影响起着权衡轻重的作用,因此叫做权数。主要用于处理经分组整理的数据。
例如:
平时测验 80, 期中 90, 期末 95
学校规定的科目成绩的计算方式是:
平时测验占 20%
期中成绩占 30%
期末成绩占 50%
这里,每个成绩所占的比重叫做权重。
那么,加权平均值 =( 80*20% + 90*30% + 95*50% )/(20%+30%+50%)=90.5;
调和平均数(harmonic mean)又称倒数平均数,是总体各统计变量倒数的算术平均数的倒数。调和平均数是平均数的一种。但统计调和平均数,与数学调和平均数不同,它是变量倒数的算术平均数的倒数。由于它是根据变量的倒数计算的,所以又称倒数平均数。调和平均数也有简单调和平均数和加权调和平均数两种。
简单调和平均数是算术平均数的变形,它的计算公式如下:
![]()
加权调和平均数是加权算术平均数的变形。它与加权算术平均数在实质上是相同的,而仅有形式上的区别,即表现为变量对称的区别、权数对称的区别和计算位置对称的区别。因而其计算公式为:
