

额定频率是电动机一个重要的铭牌数据,在变频调速时,电机运行在额定频率以下为佳。电机运行于高于额定频率很多的状态,危害很大(如某工厂渣处理搅笼电机,50Hz,90kW。为了调节合适的转速,通常运行于70Hz附近)。
首先,由于电机的运行频率升高会使定子和转子电抗增大,使电机电流下降,而降低电动机的电磁转矩,即降低电动机带负载的能力。其次,会使电动机铁损和发热量增大。
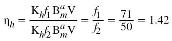
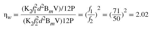
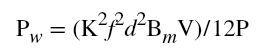
三相异步电动机铁心损耗分为磁滞损耗(Ph)和涡流损耗(Pw),计算Ph与Pw:
……1
……2
式中Kh:材料系数;Bm:感应主磁场强度幅值;V:铁心体积;d:叠片厚度;K:比例系数;a:材料系数;p:硅钢片电阻率。
从1、2两式可知,电动机的磁滞损耗(Ph)与供电频率成正比;电机的涡流损耗(Pw)与供电频率的平方成正比。电机的运行频率升高会使铁耗大幅上升,发热量大幅增加。
以下具体分析渣处理搅笼电机71Hz与50Hz运行频率损耗之比:


从以上计算结果可知,搅笼电机运行频率由50Hz提升到71Hz,磁滞损耗增加了42%,涡流损耗增加了102%。粗略分析搅笼电机一年在50Hz增加到71Hz运行频率,增加的铁耗如下:该电机的效率为89%,电动机的空载损耗基本上是铁耗,电动机带上负载增加的损耗是铜损。由于定子和转子线圈的直流电阻很低,铜耗远远低于铁损,一般铁耗占总损耗的60%以上。取铁损为总耗损的60%,则该电机的铁损为:
90x(1-89%)x60%=6.93kW
电机的损耗主要为铁损,而铁耗主要为涡流损耗。取磁滞损耗和涡流损耗因运行上升到71Hz而增加铁损的平均数,则铁损增加率为:
(42%+102%)/2=72%
也就是说电机运行频率由50Hz上升到71Hz.增加的铁损为:
6.93x72%=4.99kW
一年增加电耗计算如下:高炉一天出铁14次,一次出渣时间为70min,搅笼一天工作时间为:
14x70/60=16.3h
一年作业350天,一台搅笼机一年工作时间为:
16.3x350=5705h
搅笼电机运行频率从50Hz上升到71Hz,增加的铁损为:4.99×5705=25324.25kWH,按0.6元/kWh计算,一年增加电耗金额:25324.25x0.6=15194.55元。
解决的办法:既要保证搅笼机运行速度又要保证变频器运行频率在50Hz处,最佳的办法就是更换电机,把90kW 8极电机更换为90kW6极电机是比较好的办法,6极电机53Hz运行频率相当于8极电机71Hz运行频率的转速。
上一篇:不确定度、准确度、精度定义及比较
下一篇:电动汽车电池充电方法简介