

电能是我们日常生活的基础能源,所以必须要保证电力供应的可靠性、稳定性。在电力供应中,不可避免地会产生一定的供电线路电压损耗和功率损耗,下面就简要介绍电压损耗与功率损耗。
电压降落
,定义为网络元件首端、末端电压的向量差。
输电线路的等效模型如图1所示,其中
、
分别是首端和末端电压,首端功率为
,末端功率为
,R为传输线路电阻,X为传输线路电抗。

图1 传输线路示意图

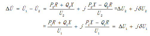
其中
为电压降落的纵分量
为电压降落的横分量
注意在进行计算时,功率和电压必须是同端的;功率用三相功率,电压用线电压。
电压损耗
,定义为网络元件首端、末端电压的数值差。
在通常的计算中,由于电压损耗
与电压降落的纵分量在数值上较接近,故一般用电压降落的纵分量近似为电压损耗,即
(1)
电力线路和元件中流过功率时,要引起功率损耗,其计算公式为:
(2)
根据公式(1)和公式(2)可知,在电力线路传输有功功率
一定的情况下,为了降低电压损耗和功率损耗,可以通过以下方式:
1、提高供电电压等级
;
2、增大导线横截面积,减小输电线路电阻R;
3、通过无功功率补偿的方式,减小输电线路传输的无功功率Q。
上一篇:银河电气扭矩转速变送器选择指南
下一篇:船舶轴功率常用测量方法及特点