

直流力矩电机的工作原理与普通直流电动机相同,不同之处在于其结构。为了在一定体积和电枢电压下产生大的转矩和低的转速,直流力矩电机一般做成扁平式结构,电枢长度与直径之比一般为0.2左右,极对数较多。为了减小转矩和转速的波动,选用较多的槽数和换向片数,通常采用永磁体产生磁场。
如下图1所示为永磁式直流力矩电机的结构。定子是有软磁材料制成的带槽的圆环,在槽中嵌入永磁体。转子铁心通常用硅钢片叠成,槽中嵌入电枢绕组,电枢绕组为单波绕组。槽楔由铜板制成,兼作换向片,槽楔两端伸出槽外,一端作为电枢绕组接线用,另一端排列成环形换向器。转子的所有部件用高温环氧树脂浇铸成整体。

图1:永磁式直流力矩电机结构图
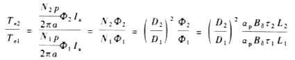
直流电机中,若两台电机的电枢体积相同,它们的电枢直径分别为D1和D2,电枢长度分别为L1和L2,假设它们的极对数P、极弧系数ap、槽数、并联支路数a、电枢电流Ia和气隙磁通密度Bδ均相同,槽面积与电枢直径的二次方成正比,每槽导体数也与电枢直径的二次方成正比,则它们产生的电磁转矩之比为:


可以看出,在上述前提下,电磁转矩与电枢直径成正比,这就是直流力矩电机转矩大的原因。

图2:交流电机的力矩特性
交流力矩电机分为单相和三相两种,分别是从单相感应电动机和三相感应电动机的基本系列派生的,结构和安装尺寸与基本系列一致。不同之处在于,其转子导条通常采用较高电阻率的材料,如黄铜、纯铜、铜锰合金等,转子电阻较普通感应电动机大得多,因而其机械特性与普通感应电动机明显不同。交流力矩电机的机械等性能如图2所示,图中曲线1为普通感应电动机的机械特性。交流力矩电机转子电阻较大,使最大转矩对应的转差率为1,即最大转矩出现在堵转点,其机械特性如图中曲线2所示。

图3:交流力矩电机的提速特性
由于感应电动机的电磁转矩正比于电源电压的二次方,通过改变电压可以得到交流力矩电机的一组调速特性,如图3所示。在负载转矩(或转速)不变时,可以通过调节电压来改变电动机的转速(转矩)。
机械特性非线性度是交流力矩电机的一个重要指标,其定义于:实际机械特性与理想机械特性之间的转速差最大值与空载转速之比,如图4所示。非线性度主要与转子电阻有关,转子电阻越大,非线性度越小,一般控制在30%之内。

图4:机械特性的非线性度
力矩电机的特点是具有软的机械特性,可以堵转。当负载转矩增大时能自动降低转速,同时加大输出转矩。当负载转矩为一定值时改变电机端电压便可调速,但转速的调整率不好。因而在电机轴上加一测速装置,配上控制器,利用测速装置输出的电压和控制器给定的电压相比,来自动调节电机的端电压,使电机稳定。
力矩电机具有低转速、大扭矩、过载能力强、响应快、特性线性度好、力矩波动小等特点,可直接驱动负载省去减速传动齿轮,从而提高了系统的运行精度。
为取得不同性能指标,力矩电机有小气隙、中气隙、大气隙三种不同结构形式,小气隙结构,可以满足一般使用精度要求,优点是成本较低;大气隙结构,由于气隙增大,消除了齿槽效应,减小了力矩波动,基本消除了磁阻的非线性变化,电机线性度更好,电磁气隙加大,电枢电感小,电气时间常数小,但是制造成本偏高;中气隙结构,其性能指标略低于大气隙结构电机,但远高于小气隙结构电机,而体积小于大气隙结构电机,制造成本低于大气隙结构电机。
在电线电缆、纺织、金属加工、造纸等加工时,卷绕是一个十分重要的工序。产品卷绕时卷筒的直径逐渐增大,在整个过程中保持被卷产品的张力不变十分重要,因为张力过大会将线材的线径拉细甚至拉断,或造成产品的厚薄不均匀,而张力过小则可造成卷绕松驰。为使在卷绕过程中张力保持不变,必须在产品卷绕到卷盘上的盘径增大时驱动卷筒的电机的输出力矩也增大,同时为保持卷绕产品线速度不变,须使卷盘的转速随之降低,力矩电动机的机械特性恰好能满足这一要求。
开卷亦称松卷、放卷、放线等,在工业生产中,有时需要把卷绕在滚筒上的产品输送到下一个工序。在输送过程中,要求施于产品一个与传动方向相反的张力,同时要求随着筒径的变化,而保持产品传动的线速度和反向张力恒定,这就要求电机具有制动恒功率特性。
力矩电机的机械特性很软,当负载增加时,电机的转速降低,输出力矩增加,而输出力矩是正比于电压的平方。如果负载固定,则电机的转速将随电压变化而变化,因此在负载恒定的装置上,只要通过调压装置改变电机的输入电压,就能获得任一的转速。但是力矩电机低速运行时,其效率极低,不利于长期低速运行。
在某些特殊场合中,有时要求电机在一段时间内保持一静止的力矩,如电缆收卷起始阶段须保持张紧;大型锻压机的锻件夹持装置等。由于力矩电机的阻抗较大;其堵转电流较小,同时采用了强迫通风,所以能满足一定时间内的堵转要求。允许堵转时间应按铭牌上标定值,如需较长的堵转时间,可选用较大的力矩电机,通过降低力矩电机的端电压来获得。
力矩电机还可根据其多种特点灵活应用,如本身具有直流串励电机特性,可部分代替直流电机使用;又如根据其转子具有高电阻特性,起动(堵转)转矩大,故可应用在启闭闸(阀)门以及阻力矩大的拖动系统中;也可利用其起动(堵转)转矩大,起动(堵转)电流小,实心转子的机械强度高的特点,而使用于频繁正、反转的装置或其他类似动作的各种机械上。