

对称三相电路是指三相电路中,三相电源对称、三相负载对称、三个线路复阻抗对称的三相电路。三相电源对称是指构成电源的三个电压源幅值相同、频率相同、相位互差1200。在电机测试之中,使用的电源基本上都是三相对称的,并且如果没有特别说明,三相电源都是正序的,当电源是正序时,各相之间电压向量关系如图1所示:
(1)

图1 正序电压向量图
在星形连接的三相电源或者三相负载中,连接示意图如图2所示:

图2 星形连接及电压向量图
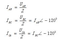
根据公式(1)可得:
(2)
根据基尔霍夫电流定律可知,对于星形连接,线电流等于相电流。
即对于星形连接的三相电源或三相负载,线电流和相电流是同一电流;线电压是相电压的
倍,且线电压超前于相应的相电压300。
三角形连接示意图如图3所示:

图3 三角形连接及电流向量示意图
根据基尔霍夫电压定律可知,对于三角形连接其线电压等于相电压,并且仍然满足正序的关系,即:
(3)
根据图3可知:
(4)
根据基尔霍夫电流定律可得:
(5)
即对于三角形连接的三相电源或三相负载,线电压和相电压为同一电压;线电流是相电流的 倍,且线电流滞后于相应的相电流300。
根据上面的分析可知,对称三相电路的线电压、线电流、相电压、相电流都满足正序的关系,唯一不同的地方在于电源或者负载的连接方式不同,线电压与相电压、线电流和相电流之间的关系不同,具体的关系参见公式(2)和公式(5)。
上一篇:计量领域的“十大计量”简介
下一篇:风机水泵轴功率与配置电机功率简介