当前位置:首页银河百科 │ 标准不确定度

标准不确定度

  • 浏览次数:19537次
  • 发布时间:2017/3/21 17:34:54
  • 作者:hb_yinhe
定义
JJF 1001-2011 通用计量术语及定义技术规范》定义:标准不确定度是指用标准偏差表示的不确定度叫做标准不确定度。
为了表征测量值的分散性,测量不确定度用标准偏差表示。用标准偏差表示的测量不确定度称为标准不确定度,用u表示。
1
标准不确定度有两类评定方法

  1、不确定度的A类评定:即用对观测列的统计分析进行不确定度评定的方法。根据测量数据,计算得到实验标准偏差,用实验标准偏差来表示测量不确定度。A类评定的不确定度又称A类标准不确定度,用UA表示。

  2、不确定度的B类评定:即用不同于对观测列统计分析的其他方法进行不确定度评定的方法。用根据经验或其他信息估计的先验概率分布的标准偏差来表示测量不确定度。B类评定的不确定度又称B类标准不确定度,用UB表示。

  3、合成标准不确定度评定:由在一个测量模型中各输入量的标准测量不确定度获得的输出量的标准测量不确定度,用Uc表示。

2
不确定度的A类评定方法

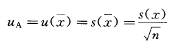
  对被测量进行独立重复观测,通过所得到的一系列测得值,用统计分析方法获得试验标准偏差s(x),当用算术平均值x作为被测量估计值时,被测量估计值的A类标准不确定度按式1计算:

子夜无人免费观看……1

  不确定度的A类评定方法有贝塞尔公式法、极差法等,详细评定方法介绍可以参考:测量不确定度的A类评定

3
不确定度的B类评定方法

  B类评定的方法是根据有关的信息或经验,判断被测量的可能值区间[x-a,x+a],假设被测量值的概率分布,根据概率分布和要求的概率p确定k,则B类标准不确定度uB可由公式2得到:

子夜无人免费观看……2

  a——被测量可能值区间的半宽度。

  详细评定方法介绍可以参考,测量不确定度的B类评定。


上一篇:脉冲编码调制(PCM)

下一篇:铁耗

Copyright 2010-2017 , All Rights Reserved 子夜无人免费观看 版权所有 湘ICP备09002592号-5