测量不确定度的A类评定
- 浏览次数:13196次
- 发布时间:2017/2/24 21:42:41
- 作者:ly_yinhe
测量不确定度的A类评定简称A类评定,是指对在规定测量条件下测得的量值用统计分析的方法进行的测量不确定度分量的评定。下面本文主要根据测量不确定度的评定与表示介绍测量不确定度的A类评定相关方法及计算。
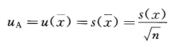
对被测量进行独立重复观测,通过所得到的一系列测得值,用统计分析方法获得试验标准偏差s(x),当用算术平均值x作为被测量估计值时,被测量估计值的A类标准不确定度按式1计算:

……1
标准不确定度的A类评定的一般流程见下图1。
图示:标准不确定度的A类评定流程图
一贝塞尔公式法
在重复性条件或复现性条件下对同一被测量独立重复观测n次,得到n个测得值

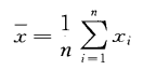
被测量X的最佳估计值时n个独立测得值的算术平均值x,按公式2计算:

……2
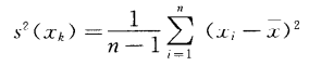
单个测得值xk的实验方差s^2(xk)按式3计算:

……3
单个测得值xk的实验标准偏差s(xk),按公式4计算:

……4
公式4就是贝塞尔公式,自由度ν为n-1。实验标准偏差s(xk)表征了测得值x的分散性,测量重复性用s(xk)表征。
被测量估计值x的A类标准不确定度uA(x)按公式5计算:

……5
A类标准不确定度uA(x)的自由度为实验标准偏差s(xk)的自由度,即ν=n-1。实验标准偏差s(x)表征了被测量估计值x的分散性。
二极差法
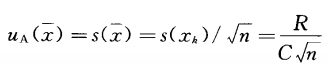
一般在测量次数较少时,可采用极差法评定获得s(xk)。
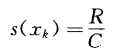
在重复性条件或复现性条件下,对Xi进行n次独立重复观测,测得值中的最大值与最小值之差称为极差,用符号R表示。在Xi可以估计接近正态分布的前提下,单个测得值xk的试验标准差s(xk)可按公式6近似地评定:

……6
式中:
R——极差;
C——极差系数。
极差系数C及自由度ν可查得表1得到。
表1:极差系数C及自由度ν
被测量估计值的标准不确定度按式7计算:

……7
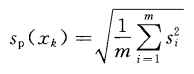
三测量过程合并标准偏差的评定
对一个测量过程,采用核查标准和控制图的方法使测量过程处于统计控制状态,若每次核查时的测量次数为nj(自由度为νj),每次核查时的实验标准偏差为sj,共核查m次,则统计控制下的测量过程的A类标准不确定度可以用合并实验标准偏差sp表征。测量过程的实验标准偏差按公式8计算:

……8
若每次核查的自由度相等(即每次核查时测量次数相同),则合并样本标准偏差按公式9计算:

……9
式中:
Sp——合并样本标准偏差,是测量过程长期组内标准偏差的统计平均值;
Sj——第j次核查时的实验标准偏差;
m——核查次数。
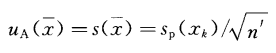
在过程参数sp已知的情况下,由该测量过程对被测量X在同一条件下进行n次独立重复观测,以算术平均值x为测量结果,测量结果的A类标准不确定度按公式10计算:

……10
四合并样本标准偏差的评定
例如使用同一个计量标准或测量仪器在相同条件下检定或测量示值基本相同的一组同类被测件的被测量时,可以用该一组被测件的测得值作测量不确定度的A类评定。
若对每个被测件的被测量Xj在相同条件下进行n次独立测量,测得值为xi1,xi2,……xin,其平均值为xi;若有m个被测件,则有m组这样的测得值,可按公式11计算单个测得值的合并样本标准偏差:

……11
式中:
I——组数,i=1,2,……,m。
J——每组测量的次数,j=1,2,……,n。
公式10给出的sp(xk),其自由度为m(n-1)。
若对每个被测件已分别按n次重复测量算出了其实验标准偏差si,则m组测得值的合并样本标准偏差sp(xk)可按公式12计算:

……12
当实验标准偏差si的自由度均为ν0时,公式12给出的sp(xk)的自由度为mν0。
若对m个被测量Xi分别重复测量的次数不完全相同,设各为ni,而Xi的实验标准偏差s(xi)的自由度为νi,通过m个si与νi可得sp(xk),按公式13计算:

……13
由公式13给出的sp(xk)的自由度为
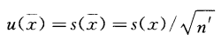
由上述方法对某个被测件进行n’次测量时,所得测量结果最佳估计值的A类标准不确定度为:
五预评估重复性的评定
在日常开展同一类被测件的常规检定、校准或检测工作中,如果测量系统稳定,测量重复性无明显变化,则可用该测量系统以与测量被测件相同的测量程序、操作者、操作条件和地点,预先对典型的被测件的典型被测量值进行n次测量(一般n不小于10),由贝塞尔公式计算出单个测得值的实验标准偏差s(xk),即测量重复性。在对某个被测件实际测量时可以自测量n’(1≤n’<n),并以n’次独立测量的算术平均值为被测量的估算值,则该被测量估计值由于重复性导致的A类标准不确定度按公式14计算:

……14
用这种方法评定的标准不确定度的自由度仍为ν=n-1.应注意,当怀疑测量重复性有变化时,应及时重新测量和计算实验标准偏差s(xk)。