当前位置:首页检测中心基础知识 │ 电压暂降与短时中断的测量

电压暂降与短时中断的测量

  • 浏览次数:8243次
  • 发布时间:2016/8/17 16:38:01
  • 作者:ly_yinhe

  电压暂降与短时中断时电能质量考核中重要的指标之一,主要是由于电网、电力设施的故障或负荷突然出现大的变化引起的。下面本文根据电压暂降与短时中断国家标准中的相关描述,对电压暂降与短时中断测量的参考指标、测量等内容进行介绍。

电压暂降与短时中断测量参考指标

  根据电能质量——电压暂降与短时中断标准中的描述,一般采用SARFI指标来考评电压暂降与短时中断事件。SARFI指标用来描述特定周期内某一系统或某一单一测量点电压暂降(短时中断)事件发生频度。

  SARFI指标包括两种形式:一种是针对某一阈值电压的统计指标SARFIX;另一种是针对某类敏感设备的容限曲线的统计指标SARFI-curve。

01SARFIX

  电能质量标准中的SARFIX推荐采用两种方式,分别为利用事件影响用户数进行统计的SARFIX-C和仅利用事件发生次数进行统计的SARFIX-T,分别如下式1和式2所示:

子夜无人免费观看……1、

  式中:

  X——电压方均根阈值,X可能的取值为90、80、70、50或10等,用电压方均根值占标称电压的百分数形式表示,即为X%;

  当X<100时,Ni为第i次事件下承受残余电压小于X%的电压暂降(或短时中断)的用户数;

  NT——所评估测点供电的用户总数。

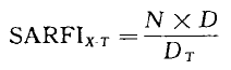
子夜无人免费观看……2

  式中:

  X——电压方均根阈值,X可能的取值为90、80、70、50或10等,用电压方均根值占标称电压的百分数形式表示,即为X%;

  当X<100时,Ni为第i次事件下承受残余电压小于X%的电压暂降(或短时中断)的用户数;

  DT——监测时间段内的总天数;

  D——指标计算周期天数,可取值30或365,对应指标分别表示每月或每年残余电压小于X%的电压暂降(或短时中断)的平均发生天数,D≤DT。

02SARFI-curve

  SARFI-curve指标是统计电压暂降(短时中断)事件超出某一类敏感设备容限曲线所定义的区域的概率,不同的容限曲线对应不同的SARFI-curve指标。例如对于IT类设备,可按SARFI-cbema、SARFI-itic指标统计;对于半导体类设备,可按SARFI-semi指标统计。只有在CNEMA、ITIC曲线包围区域外部或SEMI曲线下方的电压暂降(短时中断)时间才考虑计入SARFI-curve指标。

电压暂降与短时中断的测量

01电压方均根的计算方法

  为了检测电压暂降和短时中断,需要计算各相电压方均根值。电压方均根值有两种计算方法,分别是:半周波刷新电压方均根值(Urms(1/2))和每周波刷新电压方均根值(Urms(1))

  A. 半周波刷新电压方均根值(Urms(1/2))

  计算Urms(1/2)的公式如下:

子夜无人免费观看

  式中:

  N——每周期的采样点数;

  u(i)——第i此被采样到的电压波形的瞬时值;

  k——被计算的窗口序号(k=1,2,3,……),即第一个值是在一个周期内(从样本1到样本N)获得的,下一个值则从样本1/2N+1到样本1/2N+N,依次计算。

  B. 每周波刷新电压方均根值(Urms(1))

  计算Urms(1)的公式如下:

  式中:

子夜无人免费观看

  N——每周期的采样点数;

  u(i)——第i次采样到的电压波形的瞬时值;

  k——被计算的窗口序号(k=1,2,3,……),即第一个值是在一个周期内(从样本1到样本N)获得的,下一个值则从样本N+1到样本2N,依次计算。

02检测阈值

  A. 电压暂降的检测阈值

  检测电压暂降的阈值一般依据电压暂降定义设置为0.9pu。

  单相系统中当Urms(1/2)或Urms(1)低于暂降阈值时,电压暂降开始;当Urms(1/2)或Urms(1)等于或者高于暂降阈值与迟滞电压之和时,电压暂降结束。

  多相系统中,当一相或多相的Urms(1/2)或Urms(1)低于暂降阈值时,电压暂降开始;当所有相的Urms(1/2)或Urms(1)等于或者高于暂降阈值与迟滞电压之和时,电压暂降结束。

  B. 短时中断的检测阈值

  检测短时中断的阈值一般依据短时中断的定义设置为0.1pu。

  单相系统中,当Urms(1/2)或Urms(1)低于短时中断阈值时,短时中断开始;当Urms(1/2)或Urms(1)等于或者高于短时中断阈值与迟滞电压之和时,短时中断结束。

  多相系统中,当一组或多组的Urms(1/2)或Urms(1)低于短时中断阈值时,短时中断开始;当所有相的Urms(1/2)或Urms(1)等于或者高于短时中断阈值与迟滞电压之和时,短时中断结束。

原文:/NewsDetail-1940.aspx转载务必带链接注明出处,未注明必追究责任!

Copyright 2010-2017 , All Rights Reserved 子夜无人免费观看 版权所有 湘ICP备09002592号-5