当前位置:首页检测中心基础知识 │ 直流电机效率的直接测试方法

直流电机效率的直接测试方法

  • 浏览次数:6988次
  • 发布时间:2016/8/11 17:15:15
  • 作者:ly_yinhe

  效率测试是所有电传动部件及系统重要检验项目,GB 755 旋转电机定额及性能标准中对各类电机设备效率检测方法进行了详细的介绍。旋转电机效率测试主要有直接测试法及损耗分析法,效率的直接测试方法是通过对直流电机输入输出功率的直接测试而求得效率的方式,下面本文对直流电机效率的直接测试相关试验方法及计算进行详细介绍。

直流电机输入功率和输出功率的测量

  直接测定效率时,电动机的输入功率用电工仪表测量,输出功率的机械功率用测功机、转矩测量仪测量;发电机的输出功率用电工仪表测量,输入功率用测功机、转矩测量仪测量。

  输入功率用电压乘电流来计算,试验电源为整流电源时要求采用真实读书瓦特表或指示电压、电流瞬时值乘积平均值的其他测量装置直接测取电枢回路输入功率,也可分别测量直流功率分量和交流功率分量然后求和。

  测功机的功率,在与被试电机同样的转速下应不超过被试电机额定功率的三倍;转矩测量仪的标称转矩,应不超过被试电机额定转矩的三倍。测功机与被试电机之间应用弹性联轴器连接,连接应保证良好、同心。

直流电机效率直接测试方法

  直流电机效率直接测试试验时,被试电机应在额定功率或额定转矩、额定电压及额定转速下运行至热稳定,读取输入或输出的电压、电流、功率、转速及转矩,并保存周围冷却空气温度,然后立即测定串励、并(他)励及电枢绕组的电阻,并将冷却空气温度换算至25℃。

直流电机效率直接测试相关计算

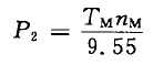
  被试电动机的输出机械功率P2按照下式1计算:

子夜无人免费观看                   ……1

  式中:

  TM——被试电动机输出转矩,N.m;

  nM——被试电动机转速,r/min。

  被试电动机的效率ηM按照下式2计算:

子夜无人免费观看                  ……2

  式中:

  P1——被试电动机输入功率,W。

  被试发电机的输入机械功率P1(W)按下式3计算:

子夜无人免费观看                  ……3

  式中:

  TG——被试发电机输入转矩,N.m;

  nG——被试发电机转速,r/min。

  如被试发电机为他励,则输入功率中还应加入励磁功率。

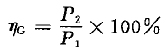
  被试发电机的效率ηG按照下式4计算:

子夜无人免费观看                  ……4

  式中:

  P2——被试发电机输出电功率,W。

直流电机效率直接测试时温度换算

  用直接法测定电机效率时,如试验时的冷却空气温度不是25℃,应按照下式5换算到25℃。

子夜无人免费观看                  ……5

子夜无人免费观看                                    ……6

  式中:

  η25——冷却空气温度为25℃时电机的效率;

  P2——效率测定时电机的额定输出功率,W;

  P1(25)——冷却空气温度为25℃时电机的额定输入功率,W;

  P1——效率测定时电机的额定输入功率,W;

  Ia——效率测定时电机的额定电枢电流,A;

  If——效率测定时电机的额定励磁电流,A;

  R2a、R2c、R2f——效率测定后立即测得的电枢绕组、励磁绕组及并励绕组的电阻,Ω;

  Δθa、Δθc、Δθf——额定输出功率时电枢绕组、串励绕组及并励绕组温升值,K;

  θ2a、θ2c、θ2f——效率测定后立即测得的电枢绕组、串励绕组及并励绕组的温度,℃;

  k——常数,对铜绕组为235,对铝绕组除有特殊规定外应选取225。

  θ2a按照下式7计算:

子夜无人免费观看                  ……7

  式中:

  R2a——效率测定后立即测得的电枢绕组电阻,Ω;

  R1——实际冷状态时电枢绕组电阻,Ω;

  θ1——实际冷状态时电枢绕组温度,℃;

  k——常数,对铜绕组为235,对铝绕组除有特殊规定外应选取225。

直流电机效率直接测试测功机转矩读数的修正

01直流电机效率直接测试电动机输出转矩的修正

  当对测量精度提出更高的要求时,则应当按照下列式中对测功机所测得输入出或输入转矩值进行修正,以便求得被试电机的实际输出或输入转矩值。

  被试电动机的实际输出转矩按下式修正:

子夜无人免费观看                  ……8

  式中:

  TM——被试电动机实际输出转矩,N.m;

  T’M——试验时测功机测得的被试电动机输出转矩,N.m;

  Tfw——测功机本身消耗的转矩,N.m。

02直流电机效率直接测试发电机输入转矩的修正

  被试发电机的实际输入转矩按下式修正:

子夜无人免费观看                  ……9

  式中:

  TG——被试发电机实际输入转矩,N.m;

  T’G——试验时测功机测得的被试发电机输出转矩,N.m;

  Tfw——测功机本身消耗的转矩,N.m。

03直流电机效率直接测试测功机转矩Tfw的测定及计算方法

  Tfw(N.m)按下式计算:

子夜无人免费观看                  ……10

  式中:

  P1——被试电机在接近额定电压下驱动测功机空载时的输入功率(此时,测功机的电枢及励磁回路应开路),W;

  P0——被试电机在上述相同电压下空载运转时的输入功率,W;

  Td——测定P1时测功机指示的转矩值,N.m

  nt——测定P1及Td时被试电机的转速(此转速应调节到等于效率测定时的转速,r/min)。

  上述Tfw的测定方法一般称为空拖试验,应在效率测定后机组安装状态不改变的情况下进行此项试验。被试电动机的实际输出转矩TM及被试发电机的实际转矩TG求得后,即可按照算出较准确地输出及输入的机械功率,从而求得较准确地效率。

原文:/NewsDetail-1934.aspx转载务必带链接注明出处,未注明必追究责任!

Copyright 2010-2017 , All Rights Reserved 子夜无人免费观看 版权所有 湘ICP备09002592号-5