

转动惯量是表征刚体转动惯性大小的物理量,它与刚体的质量、质量相对于转轴的分布有关,直流电机转动惯量测定方法包括自减速法、扭摆法和辅助摆锤法三种方法。
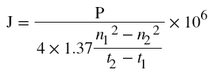
首先测定电机在额定转速时的空载铁耗和机械损耗。在额定励磁电流和高于额定转速nN下,作空载运行(串励电机在他励情况下),待电机运行平稳后迅速地切断电枢电源,由其惯性自然减速,测定被试电机减速曲线a(如下图1:电机减速α曲线),在1.1~0.9倍额定转速范围内进行计算。

图1示:电机减速α曲线
转动惯量J按式下式计算:

式中:
J——转动惯量,kg*㎡;
P——在额定转速时,机械损耗和空载铁耗之和,KW;
n1——时间t1时的转速,r/min;
n2——时间t2时的转速,r/min。
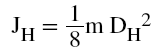
另外,在减速曲线α(图1)上,由转速nN点引起切线b,求出nN处的速度变化率dnN/dt(r/min/s)。
转动惯量J按下式计算:

扭摆法是一种将被试转子的转动惯量与圆柱形标准转子的转动惯量进行比较的方法。
首先选择密度均匀的金属物体加工成圆柱形的标准转子,再按被测转子的重量选择适当直径和一定长度的钢丝,此钢丝应能承受被测物之重量和被拉直而保持不变形。然后将标准转子悬挂在钢丝上,必须保证钢丝轴线与标准转子轴线同心且垂直地面,悬挂长度可取0.5m及以上。待标准转子静止后,把标准转子绕心轴扭转一个适当角度(可用30°左右)仔细地测取若干往复摆动次数和时间,而求得摆动周期平均值。
试验前,被试转子应校平衡。被试转子与标准转子悬挂长度应相同,应使用同一根吊线,同一套悬吊装置,同一只秒表,按照上述试验要求求得摆动周期平均值。
被试转子转动惯量按下式计算:
式中:

JH——标准转子转动惯量,kg*㎡;
T——被试转子摆动周期平均值,s;
TH——标准转子摆动周期平均值,s。
标准转子转动惯量按下式计算:

式中:
DH——标准转子圆柱体直径,m;
m——标准转子圆柱体的质量,kg;
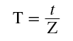
仔细准确地测取并记录转子再相当长的时间t之内所完成的摆动次数Z,按下式求得摆动周期平均值T(s):(转子扭转摆动的计算起点与终点,应在往复摆动的中心位置)

辅助摆锤法一般用于测定具有滚动轴承电机的转动惯量,试验必须在电刷全部提起时进行。
将一个质量已知的辅助摆锤用质量尽可能小的臂杆固定于被试电机转轴端面中心上,摆锤臂杆应与轴线成直角。当转子转轴上带有皮带轮或半个联轴器时,也可用它们来固定摆锤。
试验时,摆锤的初始位置与静止位置偏移不大于15°,然后开始摆动,并在其后测量2~3次摆动所需的时间,求出摆动周期的平均值,以摆锤通过静止位置的瞬间作为测量摆动周期的起始点。
转动惯量J(kg*㎡)按下式求取:

式中:
m——辅助摆锤的质量,kg;
r——辅助摆锤的重心到转轴中心线的距离,m;
T——辅助摆锤摆动周期的平均值,s;
对功率为10~1000kw的电机,选用辅助摆锤时,应使摆动周期为3~8s。同时,为了校核,试验应在较小或较大的摆锤质量时重复进行。