当前位置:首页产品问答 │ 如何采用标准功率源进行功率表校准

如何采用标准功率源进行功率表校准

  • 浏览次数:12942次
  • 发布时间:2016/6/25 16:07:48
  • 作者:ly_yinhe

  功率表的校准是一项重要工作,本文主要根据400Hz功率表校准规范介绍如何采用标准功率源对功率表进行校准。
标准功率源法校准功率表的原理接线图
图1示:标准功率源法校准功率表的原理接线图
  如上图1所示为标准功率源法校准功率表的原理接线图,试验时标准功率源和被校功率表的外壳直接相接,并和地点为相接,地电位一般和被测功率的电压非同名端相接。试验时应当尽量减少连接被校功率表的电压和电流回路的引线回路面积,尽量减少两个回路之间的耦合。

模拟功率表校准

01模拟指示功率表校准点选取

1.基本量限
  全功率因数功率表基本量限的基本误差在额定电压、功率因数等于1时对标度尺每一个带数字分度线的刻度点进行校准。在功率因数等于0.5(L感性)和0.5(C容性)两种情况下对中间带数字分度线的刻度点进行校准。
低功率因数功率表基本量限的基本误差在额定电压、额定功率因数(L)下对标度尺每一个带数字分度线的刻度点进行校准。
在额定功率因数(C)下,对标度尺满刻度数字分度线刻度点进行校准;在1/2额定功率因数(L)和1/2额定功率因数(C)两种情况下对中间刻度点进行校准。
2.非基本量限
  电流非基本量限只和电压基本量限配合校准,电压非基本量限值和电流基本量限配合校准;非基本量限在功率因数等于1或感性额定功率因数下对满刻度点进行校准。

02模拟指示功率表校准操作

  a)选择被校功率表电压电流量限,按照图1所示接线;
  b)调节被校功率表零位;
  c)设置标准功率标准源的功率因数,根据被校功率表量限,调节标准功率源输出电压为被校功率表额定电压;
  d)缓慢增大标准源的输出电流,使被校功率表的指针与数字分度线Xi重合,记录此时标准功率源输出功率值Pa1于校准记录表格;
  e)重复d,标准功率源输出电流从小到大,直至所有的需要校准的数字分度线校准完毕;
  f)增大标准功率源输出电流到被校功率表测量范围上限以上,立刻缓慢减小标准功率源输出电流,使功率表指针再次与被校的数字分度线Xi重合,记录此时标准功率源输出功率值Ps2与校准记录表格;
  g)重复f,标准功率源输出电流从大到小,直至所有的需要校准的数字分度线校准完毕;
  h)改变标准功率源功率因数和电压电流量限,重复b~g;
  i)计算:
  设被校功率表额定功率为Pn,满刻度为Xn,则被校功率表的额定分度值Cw按下式计算:
子夜无人免费观看
式中:
  Cw——被校功率表的额定分度值,以每瓦的刻度格表示;
  Xn——被校功率表满刻度值,以刻度格表示;
  Pn——被校功率表额定功率,单位为瓦(W)。
  被校刻度实际值按下式计算:
子夜无人免费观看
式中:
  Xs——被校刻度实际值,以刻度格表示;
  Cw——被校功率表满刻度值,以每瓦的刻度格表示;
  Ps1、Ps2——分别为电流上升和下降时标准功率源的输出功率值,单位为瓦(W)。
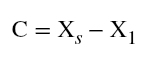
  对应修正值按下式计算:
子夜无人免费观看
式中:
  C——被校刻度修正值,以刻度格表示;
  Xs——被校刻度实际值,以刻度格表示;
  X1——被校刻度示值,以刻度格表示。
  从量程的所有校准点找出最大绝对误差ΔXm=-Cm,则被校功率表最大基本误差γ按下式计算:
子夜无人免费观看
式中:
  γ——被校功率表最大基本误差;
  Xn——被校功率表的满刻度值,以刻度格表示;
  ΔXm——被校功率表的最大绝对误差,以刻度格表示。

数字功率表校准

01数字式功率表校准点的选取

1.基本量限
  全功率因数功率表的基本量限的基本误差在额定电压,功率因数等于1及功率因数等于0.5(L)和0.5(C)两种情况下进行校准。
额定功率因数等于1时,校准的示值应该不少于5个。各示值应该是等距的,包括零示值及满量程示值。当功率因数等于0.5(L)和0.5(C)时,在量限的额定电压和额定电流条件下校准。
  低功率因数功率表的基本量限的基本误差在额定电压、额定功率因数(L)、额定功率因数(C)、1/2额定功率因数(L)、1/2额定功率因数(C)、功率因数等于0(L)、功率因数等于0(C)等条件下校准。在额定功率因数(L)下,校准的示值应该不少于5个,各示值应该是等距的,包括零示值及满量限示值。对于其他功率因数条件下,仅在量限的额定电压和额定电流条件下校准。
2.非基本量限
  电流非基本量限只和电压基本量限配合校准,电压非基本量限只和电流基本量限配合校准;根据用户要求,可以在电压量限和电流量限某些指定的组合的情况下进行校准;所有非基本量限的基本误差,仅在量限额定电压、量限额定电流及额定功率因数下进行校准。

02数字式功率表校准操作

  a)选择被校功率表电压电流限值,按照图示接线;
  b)根据要求进行调整和自校;
  c)设置标准功率源的功率因数,根据被校功率表量限,设定标准功率源输出电压为被校功率表额定电压;
  d)调节标准功率源输出电流,使标准功率源的显示值Ps,被校功率表测量值为Px。记录Ps和Px于校准记录表格。
  e)改变标准功率源功率因数和电压电流量限,重复c~d;
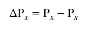
  f)计算:
  被校功率表示值Px的误差ΔPx按下式计算:
子夜无人免费观看
式中:
  ΔPx——被校功率表示值误差,单位为瓦(W);
  Px——被校功率表示值,单位为瓦(W);
  Ps——标准功率源的示值,单位为瓦(W);
  被校功率表的基本误差γ按下式计算:
子夜无人免费观看
式中:
  γ——被校功率表基本误差;
  Un——被校功率表额定电压,单位为伏(V);
  In——被校功率表额定电流,单位为安(A);
  Cos(φ)——被校功率表的额定功率因数。

原文:http:/NewsDetail-1881.aspx转载务必带链接注明出处,未注明必追究责任!



Copyright 2010-2017 , All Rights Reserved 子夜无人免费观看 版权所有 湘ICP备09002592号-5