

在脉冲宽度调制(PWM)技术中,存在两种调制比的概念,一个是电压幅值比,一个是频率比:
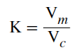
即一般我们所说的“调制比”,其定义如下

式中:
K——调制比;
Vm——调制波幅值;
Vc——载波幅值。
一般情况下,K<1,若Ka>1,则称之为过调制。
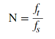
即一般所说的“载波比”,其定义如下

式中:
N——载波比;
ft——载波频率;
fs——调制波频率。
一般情况下ft远远大于fs,则N远远大于1。
占空比是指脉冲信号的通电时间与通电周期之比。在一串理想的脉冲周期序列中(如方波),正脉冲的持续时间与脉冲总周期的比值,占空比是一个瞬时周期概念。
调制比是一个稳态平均值的概念,是指电压利用率;另一方面,某一调制方法实际工作MI可以估算THD大约是多少。
PWM(Pulse Width Modulation),简称脉宽调制,脉冲宽度调制是一种模拟控制方式,其根据相应载荷的变化来调制晶体管基极或MOS管栅极的偏置,来实现晶体管或MOS管导通时间的改变,从而实现开关稳压电源输出的改变。
SPWM (Sinusoidal PWM),就是在PWM的基础上改变了调制脉冲方式,脉冲宽度时间占空比按正弦规律排列,这样输出波形经过适当的滤波可以做到正弦波输出。它广泛地用于直流交流逆变器等。
SVPWM(Space Vector Pulse Width Modulation)空间矢量脉宽调制,它是以三相对称正弦波电压供电时,三相对称电动机定子理想磁链圆为参考标准,以三相逆变器不同开关模式做切换,从而形成PWM波,以所形成的实际的磁链矢量来追踪其准确的磁链圆。