

占空比是在连续的脉冲信号频率或周期不变的前提下定义的,用来衡量开关管导通或截止状况,在这个前提下定义占空比为周期电信号中有电信号输出的时间与整个信号周期之比:
D(占空比)=τ(电信号不为“0”的时间)/T(电信号为“0”的时间+电信号不为“0”的时间)*100%

例如:脉冲宽度1μs,信号周期4μs的脉冲序列占空比为0.25。
注:引申义——在周期型的现象中,某种现象发生后持续的时间与总时间的比。
在成语中有句话:「三天打鱼,两天晒网」,如果以五天为一个周期,“打渔”的占空比则为五分之三。
01占空比测量方法1
A、信号连接单片机定时器的捕获端口(上升触发)测量方波的周期T,并记录最后一次上升沿的时刻值;
图示:占空比测量方法等效变换示意图
对于方法1我们可以等效的变换(等效变换方式如上图所示)另外一种测量方法:
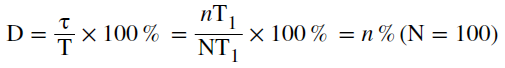
A、将被测信号进行100倍倍频处理(T=100T1);
B、测量原信号高电平期间通过的倍频信号的脉冲个数n;
C、将脉冲个数n除以100(n%)即为D(占空比)。

02占空比测量方法2
利用方波占空比与直流分量成正比的特点,将方波连接低通滤波器后经AD测量,AD测量结果除以方波的高电平对应值就是占空比。
图示:PWM(脉冲宽度调制)
PWM(Pulse Width Modulation)控制即脉冲宽度调制技术,主要是通过对一系列脉冲的宽度进行调制,来等效地获得所需要波形(含形状和幅值)。这里面的脉冲宽度即在一个周期内输出高电平的时间,假如说周期T=64uS,脉冲宽度D=32uS,则占空比=D/T=32/64=50%,脉冲宽度调整就是对占空比的调整。

占空比的作用是调整开关管的导通时间来调节高低电平所占的时间比率,占空比越大,电路开通时间就越长,整机性能就越高。
现代汽车的控制精度越来越高,特别是在电控系统中,常规的开关式执行器件已经不能满足现代轿车的控制要求,比如EGR系统、怠速控制系统、燃油蒸发控制系统等。准确地说,占空比控制应该称为电控脉宽调制技术,它是通过电子控制装置对加在工作执行元件上一定频率的电压信号进行脉冲宽度的调制,以实现对所控制的执行元件工作状态精确,连续的控制。近几年上海通用别克轿车所采用的线性EGR系统实际上就是利用了这一技术从而实现了EGR阀的线性开关功能。那么为什么我们又将电控脉宽调制技术称作占空比控制技术呢,事实上,占空比是对电控脉宽调制的引申说明,占空比实质上是指受控制的电路被接通的时间占整个电路工作周期的百分比。