

交流采样是相对直流采样而言,它是指对电流和电压采集时,输入至A/D转换器的是与电力系统的一次电流和一次电压同频率、大小成比例的电信号。由于电力系统、发电厂或变电站等一次电流和电压都是大电流或高电压信号,不能直接送至A/D转换器,所以必须将高电压大电流的强电信号,经过电压传感器或电流传感器,变换成A/D转换器所能接受的电信号。
交流采样技术的的理论基础是采样定理,即要求采样频率为被测信号频谱中最高频率的2倍以上。按一定的规律对被测量的瞬时值进行采样,然后按一定的算法可求出被测量,国内外已提出许多交流采样的算法。下面介绍交流采样的一般算法:
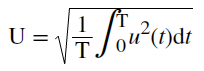
交流电压有效值公式为:

离散化,以一个周期内有限个采样电压数字量代替一个周期内的连续变化的电压函数值,则

式中:
△Tm——相邻两次采样的时间间隔;
Um——第n-1个时间间隔的电压采样瞬时值;
N——一个周期内的采样点数。
同理,采样电流有效值计算公式

在交流采样方式中,对于有功功率、无功功率和功率因数,是通过采样所得到的u、i计算出来的。计算一相有功功率的离散化公式为:

式中:
im、um---同一时刻的电流、电压采样值。
功率因数可由下式求得:

1. 实时性好。它能避免直流采样中整流、滤波环节的时间常数大的影响。
2. 能反映原来电流、电压的实际波形,便于对所测量的结果进行波形分析。因此在需要谐波分析或故障录波的场合,必须采用交流采样。
3. 有功功率和无功功率是通过采样得到的u、i计算出来的,因此可以省去有功功率和无功功率变送器,可以节约投资并缩小测量设备的体积。
4. 对A/D转换器的转换速率和采样保持器要求较高。为了保证测量的精度,一个周期内,必须保证有足够的采样点数,因此要求A/D转换器要有足够的转换速度。
5. 测量准确性不仅取决于模拟量输入通道的硬件,而且还取决于软件算法,因此采样和计算程序相对复杂。