当前位置:首页检测中心基础知识 │ 频率公式及频率的概念

频率公式及频率的概念

  • 浏览次数:13077次
  • 发布时间:2014/4/17 11:43:35
  • 作者:hb_yinhe

  频率在百度百科定义:频率是指是单位时间内完成振动的次数,是描述振动物体往复运动频繁程度的量,常用符号f或u表示,频率的单位为赫兹,这是为了纪念德国物理学家赫兹的贡献。
  频率的概念不仅在我们常说的交流电中的应用,在声学、力学、电磁学和无线电技术中也是一个衡量震动次数的物理量,在不同的应用中频率的概念不同,频率公式也不一样。

频率公式

1交流电频率公式

  在交流电中,频率是指单位时间内电压或者电流周期性变化的次数,与周期成倒数关系,平时日常生活用电的频率一般为50Hz或者60Hz。
  交流电频率公式
频率公式

2波的频率公式

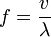
  衡量声音、电磁波(例如无线电波或者光)、电讯信号或者其他波的频率时,表示每秒波形重复的数量。如果波是声音,频率衡量音符的特性。
  频率与波长成反比例关系。 频率 f 等于波的速度 v 除以波长 λ :
频率公式

几个工业应用的频率概念

1前载波频率

  在信号传输的过程中,并不是将信号直接进行传输,而是将信号负载到一个固定频率的波上,这个过程称为加载,这样的一个固定频率的波称为载波频率。
  严格的讲,就是把一个较低的信号频率调制到一个相对较高的频率上去,这被低频调制的较高频率就叫载波频率,也叫基频。
  例如:变频器的载波频率就是决定逆变器的功率开关器件(如:IGBT)的开通与关断的次数,因此,也称开关频率。

2时钟频率

  时钟频率,是提供电脑定时信号的一个源,这个源产生不同频率的基准信号,用来同步CPU的每一步操作,通常简称其为频率。CPU的主频,是其核心内部的工作频率(核心时钟频率),它是评定CPU性能的重要指标。一般来说主频数字值越大越好。外频,是CPU外部的工作频率,是由主板提供的基准时钟频率。FSB频率,是连接CPU和主板芯片组中的北桥芯片的前端总线(Front Side Bus)上的数据传输频率。CPU的主频和外频间存在这样的关系:主频=外频×倍频。

Copyright 2010-2017 , All Rights Reserved 子夜无人免费观看 版权所有 湘ICP备09002592号-5