当前位置:首页检测中心基础知识 │ 三相电功率计算及三相电的特点

三相电功率计算及三相电的特点

  • 浏览次数:10954次
  • 发布时间:2014/4/18 10:25:22
  • 作者:hb_yinhe

  三相电是一组三个频率相同、振幅相同、相位彼此相差1200的正弦波电压的组成的三相交流电,由三个绕组的三相发电机产生,是工业上常用的电源。

一、三相电功率计算

1、三相电平均功率计算

   Pp=UpIpcosj      三相总功率: P=3Pp=3UpIpcosj

         Y形接法:1

                       2


        D形接法:3

                       4

   注: (1) j为相电压与相电流的相位差角(阻抗角),不要误以为是线电压与线电流的相位差。

         (2) cosj为每相的功率因数,在对称三相制中三相功率因数:   cos A= cos B = cos C = cosj 。
         (3)公式计算电源发出的功率(或负载吸收的功率)

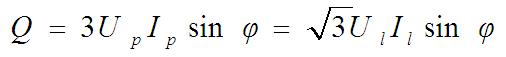
2、三相电无功功率计算     

             5
         Q=QA+QB+QC= 3Qp  

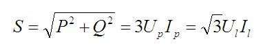
3、三相电视在功率计算

       6

4、功率因数计算

          cos j=P/S      (不对称时无意义)
     上面所说的P、Q、S 都是指三相总和。

二、三相电功率的测量

1、对三相四线制采用三表法测量

   7
                                                 
   若负载对称,则需一块表,读数乘以 3      测量方法如下图所示:
     8

2、对三相三线制采用两表法测量

  这种测量线路的接法是将两个功率表的电流线圈串到任意两相中,电压线圈的同名端接到其电流线圈所串的线上,电压线圈的非同名端接到另一相没有串功率表的线上。(有三种接线方式)
   若下图中W1的读数为P1, W2的读数为P2 ,则三相总功率为:P=P1+P2 
   9
   证明如下:(假设负载是Y型联接)   示意图如下
   P=uAN iA+uBN iB+uCN iC     iA+ iB+iC=0     iC= –(iA + iB
   p= (uAN –  uCN)iA + (uBN –  uCN) iB=uACiA +uBC i
   11
    1:  j1是uACiA的相位差, 2:  j2uBCiB的相位差
   由上论证可以得出:两个功率表的读数的代数和就是三相总功率。△联接负载结论相同。  

二、三相电的优点

   1、发电方面:比单相电源可提高功率50%;
   2、输电方面:比单相输电节省钢材25%;
   3、配电方面:三相变压器比单相变压器经济且便于接入负载:
   4、运电设备:具有结构简单、成本低、运行可靠、维护方便等优点。
   以上优点使三相电路在动力方面获得了广泛应用,是目前电力系统采用的主要供电方式。

三、三相功率测量注意事项

   1、只有在三相三线制条件下,才能用二表法,且不论负载对称与否。
   2、三相三线制条件下,只能用两表法。
   3、两表法两块表读数的代数和为三相总功率,每块表单独的读数无意义。


Copyright 2010-2017 , All Rights Reserved 子夜无人免费观看 版权所有 湘ICP备09002592号-5