

1962年约瑟夫森曾经预言,当库珀电子对从一个超导体穿过一层极薄的绝缘体到另一个超导体时,将会有如下现象发生:
(1)超导电流穿过绝缘体时不会有电压降,产生这一现象时所能流过的最大电流称为临界电流;
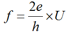
(2)在限定的电压范围内,除了有正常的传导电流外,还有交流超导电流存在并使绝缘层两端产生电压降,AC电流的频率f 与绝缘层两端的电压U 正比。
其中,e为电子电荷;h为普朗克常量。
以上预言很快为以后的实验所证实。(1)称为直流约瑟夫森效应;(2)称为交流约瑟夫森效应。其中交流约瑟夫森效应成为建立现代量子电压自然基准的基础。
当直流电流通过超导隧道结时,只要电流值低于某一临界电流Ic,则与一块超导体相似,结上不存在任何电压,即流过结的是超导电流。但一旦超过临界电流值,结上即出现一个有限的电压,结的性状过渡到正常电子的隧道特性。这种超导隧道结能够承载直流超导电流的现象,称为直流约瑟夫森效应。
如果在超导结的结区两端加上一直流电压V(当然,这时电流大于临界电流),在结区就出现高频的超导正弦波电流,其频率与所施加的直流电压成正比,有如下关系式
比例常数2e/h=483.6×106Hz/μV。
这时,结区以同样的频率(若所加电压是几微伏,则在微波区域;若为几毫伏,则在远红外波段)向外辐射电磁波。超导隧道结这种能在直流电压作用下,产生超导交流电流,从而能辐射电磁波的特性,称为交流约瑟夫森效应。