当前位置:首页检测中心基础知识 │ 有功功率测量的基本方法简述

有功功率测量的基本方法简述

  • 浏览次数:12865次
  • 发布时间:2017/11/30 17:12:11
  • 作者:ly_yinhe

  随着现代电力电子技术的高速发展,电压、电流的调制信号得到更广泛的应用。面对越来越复杂的电信号,传统的有功功率测量方法已经难以满足其测量需求,本文根据有功功率测量基本方法及变频器应用介绍功率分析仪的有功功率测量原理。

有功功率测量方法

01正弦波有功功率算法

a

  这种有功功率计算公式P=UIcosφ是在正弦电路技术上推导出来的,因此,只适用于正弦电路的有功功率测量。这种测量方式通过有效值测量电路获取电压、电流值,通过相位测量电路测量电压、电流的相位差,再根据正弦电路有功功率计算公式P=UIcosφ计算获得有功功率。

  由于相位测量电路通常采用过零检测法,而交流电零点附近不可避免会有一定的毛刺,因此,相位测量精度较低。在低功率因数下的功率测量准确度亦较低,必须采用适用于低功率因数工况下的测试仪表才能有效保证有功功率测量准确度。

02通用有功功率算法

b

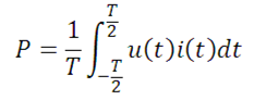
  通用有功功率计算定义为一个周期内瞬时功率积分的平均值。采用模拟乘法器获取电压、电流的乘积,得到瞬时功率,再用固定的时间对瞬时功率进行积分,即可获得瞬时功率的平均值,也就是有功功率。该方法适用任意波形电量的有功功率测量。

功率分析仪的有功功率测量基本原理

  现今功率分析仪测量的基本原理为通用有功功率算法。功率分析仪的每个测量通道,对输入的电流或者电压信号进行采样,对采样得到的数据按下列所示公式进行计算获取结果:

c

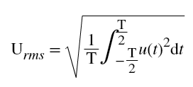
d

e

  其中u(t)为更新周期内采集的电压信号数据(瞬时数据),i(t)为更新周期内采集的电流信号数据(瞬时数据),u(t)和i(t)为同一时刻的采样数据。

  比如在变频器应用,变频器的主电路一般为“交直交”架构组成,在整流回路中一般接有大电容,输入电流的波形不是正弦波;在逆变输出回路中,输出电压信号是受PWM载波信号调整的波形,输入输出都不是标准的正弦波,含有较多的高次谐波分量,变频器典型的输入测波形如下:

变频器典型的输入测波形

  对输入测得有功率,传统的计算公式为:P=Urms*Irms*cosφ。其中P为有功功率,Urms为电压有效值,Irms为电流有效值,φ为电压电流夹角。

  但是,变频器的输出电量含有高次谐波,很难测量出相位角,功率分析仪采用通用有功功率算法,对测定的整数周期内获取的瞬时电压、电流的乘积,再用整数周期对瞬时功率进行积分,即可获得瞬时功率的平均值,也就是所测的有功功率,如下图:

瞬时功率p的波形图


Copyright 2010-2017 , All Rights Reserved 子夜无人免费观看 版权所有 湘ICP备09002592号-5