当前位置:首页检测中心基础知识 │ 电测法应力测量简介

电测法应力测量简介

  • 浏览次数:13099次
  • 发布时间:2017/9/20 17:50:18
  • 作者:czy_yinhe

  应力测量的常用方法有电测法、光纤光栅法、振弦式测量法。电测法应力测量是通过在被测部位粘贴应变片的方式将被测的非电量转换成电阻值的变化,通过测量电阻值变化达到测量应力的目的。常用的应变片有箔式应变片、金属丝式应变片和半导体式应变片。

应力测量常用桥路

  应力测量中电阻值变化通常比较小,为了测量电阻的微小变化通常会引入惠斯通电桥,惠斯通电桥由四个电阻组合而成。如图1所示:
  如果R1=R2=R3=R4或R1×R3=R2×R4,那么无论输入多大电压,输出电压e总为0,这种状态称为平衡态。如果平衡被破坏,就会产生与电阻变化相对应的输出电压。
 惠斯通电桥
图1  惠斯通电桥

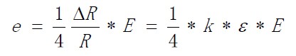
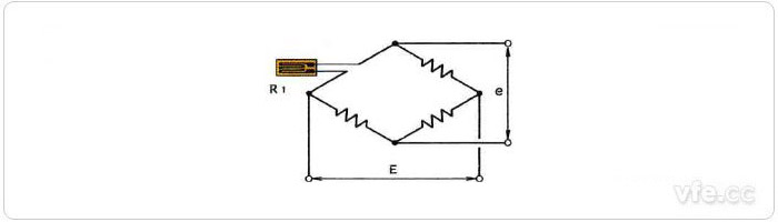
011/4桥应力测量

  如图2所示,将R1与应变片相连,当应变片发生变化时,假设其阻值变化量为ΔR,则输出电压e的计算公式如下:
 子夜无人免费观看
  上式中除了ε都是已知量,所以如果测出电桥的输出电压就可以计算出应变的大小。
  1/4桥应力测量
图2  1/4桥应力测量

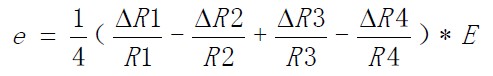
02全桥应变测量

  在电桥中的每个桥臂中联入一枚应变片,当四条边上的应变片的电阻分别引起R1+ΔR1、R2+ΔR2、R3+ΔR3、R4+ΔR4变化时桥路输出电压为
 子夜无人免费观看
  若四枚应变片完全相同,比例常数为K,且应变分别为ε1 、ε2 、ε3 、ε4,则上式可写成下面的形式:
 子夜无人免费观看
  也就是说应变测量时,邻臂上的应变相减,对臂上的应变相加。
 全桥应力测量
图3  全桥应力测量

03半桥应变测量

  在电桥中联入两枚应变片,共有两种联入方法,分别为邻边法和对边法。根据全桥电压输出公式,当为邻边法时输出电压为:
 子夜无人免费观看
  对边法输出电压为:
 子夜无人免费观看
  a、邻边法应力测量
 图4  a、邻边法应力测量
 b、对边法应力测量
图5  b、对边法应力测量

温度补偿

  应变片的电阻除因受力引起变形而发生变化外,由于温度的变化电阻值也会发生改变,这样即使不施加外力贴在被测定物体上的应变片也会测到应变。为了解决温度的影响,可以使用动态模拟法和自我温度补偿法消除温度对应变测量带来的影响。

01动态模拟法

  动态模拟法是使用两片应变片联入桥路的相邻边,其中被测物上贴上应变片,在与被测物材质相同的材料上贴上另外一个相同的应变片,并将其置于与被测物相同温度的环境里,由于温度引起的应变相同,相邻两桥臂温度引起的输出电压为零。

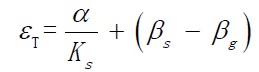
02自我温度补偿法

  自我温度补偿法是根据被测物材料的热膨胀系数的不同来调节应变片敏感栅,在线性膨胀系数为βs 的被测量物平面上粘贴着电阻元素的线性膨胀系数为βg 的应变片,该应变片每上升1℃的外观应变量εT由以下公式所示:
 子夜无人免费观看
  a:电阻元素电阻温度系数
  Ks:应变片的应变率
  自动补偿温度型应变片是根据以上公式及被测量物的线性膨胀系数,通过控制应变片电阻元素的电阻温度系数来确保 接近为零的应变片。
自我温度补偿示意图
图6  自我温度补偿示意图

桥路激励的选择

  应变片的激励电流需要考虑到产生的焦耳热与散热的关系,与金属连接时,最大限度为20mA,常用的激励电流限度为10mA~15mA。
  电桥激励电压的标准为:120Ω时,2~4V;350Ω时,5~10V。若被测量物为薄型物体,又是陶瓷、塑料之类散热性不佳的材料时,可使用更低一点的电桥激励电压。

Copyright 2010-2017 , All Rights Reserved 子夜无人免费观看 版权所有 湘ICP备09002592号-5