

永磁电机的齿槽转矩是指电枢绕组开路时,由永磁体产生的磁场与电枢齿槽作用产生的转矩。齿槽转矩随转子位置改变呈现周期性变化,周期大小由永磁电机的磁极数与槽数决定。
实际上齿槽转矩是转子转动时电机中的静磁能变化率。由于永磁体和铁心中的静磁能变化很小可以忽略,因此电机的静磁能近似等于气隙中的静磁能。当铁心有齿槽时,磁场能量随定子和转子的相对位置发生变化,并向着磁能积变小的方向产生转矩,即齿槽转矩。
从本质上而言,齿槽转矩是永磁体磁场与齿槽间作用力的切向分量。齿槽转矩总是试图将转子定位在某一位置,又称齿槽定位转矩。齿槽转矩与定子电流无关,是定转子相对位置的函数, 与电机齿槽的结构和尺寸有很大关系,准确考虑齿槽结构对电机气隙磁场的影响是分析计算齿槽转矩的关键。
齿槽转矩引起永磁电机的转矩和速度波动,使电机产生振动和噪声, 当脉动转矩的频率与电枢电流谐振频率一致时, 会产生共振, 势必会放大齿槽转矩的振动和噪声, 严重影响电机的定位精度和伺服性能, 尤其在低速时影响更为严重。
齿槽转矩表达式(电机内部的磁共能W相对于位置角α的倒数):

磁场能量可以近似认为是气隙和永磁体中的能量:

的傅里叶分解:

的傅里叶分解:

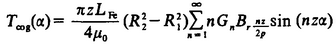
替代后齿槽转矩表达式:

注:
Br(θ)——永磁体剩磁沿圆周方向的分布;
g(θ,α)——磁极中心线与齿中心线夹角为α时的有效气隙长度沿圆周反向的分布;
hm——永磁体充磁方向长度;
LFe——电枢铁心长度;
α——磁极中心线与齿中心线夹角;
P——极对数;
z——槽数;
R1——电枢外径;
R2——定子轭内径;
n——使nz/2p为整数的正数。
一、改变电枢参数的方法
改变电枢参数能对齿槽转矩起主要作用的Gn的幅值,进而削弱齿槽转矩。这类方法主要包括:改变槽口宽度、改变齿的形状、不等槽口宽、斜槽、在齿上开辅助槽等。
二、改变磁极参数的方法
改变磁极参数的方法是通过改变对齿槽转矩起作用的Brn的幅值,达到削弱齿槽转矩的目的。这类方法有:改变磁极的极弧系数、采用不等厚永磁体、磁极偏移、斜极、磁极分段、不等极弧系数组合和采用不等极弧系数等。
三、合理选择电枢槽数和极数
该方法的目的在于通过合理的选择电枢槽数和极数,改变对齿槽转矩起主要作用的Gn的次数和大小,从而削弱齿槽转矩。