当前位置:首页检测中心基础知识 │ 有源模拟电阻器工作原理

有源模拟电阻器工作原理

  • 浏览次数:8451次
  • 发布时间:2017/1/10 16:55:49
  • 作者:ly_yinhe

  有源模拟电阻器是一种标准电阻,常用于一些电阻检定或其他相关参量的检试验中。下面本文主要根据电阻检定规程内容介绍有源电阻模拟器的分类及检定操作中的工作原理。

有源模拟电阻器分类

  有源模拟电阻器可分为电流型有源模拟电阻器和电压型有源模拟电阻器。

电流型有源模拟电阻器

01电流型有源模拟电阻器检定原理框图

  电流型有源模拟电阻器的检定原理框图参照图1所示。

采用电流型有源模拟电阻器的检定原理框图

图1:采用电流型有源模拟电阻器的检定原理框图

01电流型有源模拟电阻器工作原理

  电流型有源模拟电阻器是将被检测试仪产生的大电流I1通过电流转换装置按一定的比例转换成小电流I2,然后加在无源标准电阻器上,从而降低了对无源标准电阻器的功率要求。通过改变电流转换装置的变比或无源标准电阻器的阻值,即可调节检定时检定点的电阻值。

  在标准电阻器上的电流I2见下式

子夜无人免费观看

  式中:

  K——电流转换装置的变比。

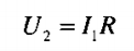
  在标准电阻器上产生的电压U2见下式

子夜无人免费观看

  式中:

  R——标准电阻器的阻值。

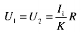
  电压U2也是加在被检测试电压端钮上的电压,所以

子夜无人免费观看

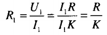
  因此,被检测试仪所测的实际等效电阻值R1见下式

子夜无人免费观看

  由此可见,检定时,只需调节电流转换装置的变比(或标准电阻器的阻值),就可以得到不同阻值的检定点。

电压型有源模拟电阻器

01电压型有源模拟电阻器检定原理框图

  电压型有源模拟电阻器的原理框图参见图2所示。

采用电压型有源模拟电阻器的检定原理框图

图2:采用电压型有源模拟电阻器的检定原理框图

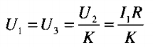
02电压型有源模拟电阻器工作原理

  电压型有源模拟电阻器是将无源标准电阻器电压端钮的电压U2通过电压转换装置按一定的比例转换成U3,然后加在被检测试仪的电压端钮。通过改变电压转换装置的变比或无源标准电阻器的阻值,即可调节检定时检定点的电阻值。

  设加在标准电阻器上的电流为I1,因此在标准电阻器电压端钮上产生的电压U2见下式

子夜无人免费观看

  当电压变换装置的变比为K时,则电压变换装置的输出电压U3见下式

子夜无人免费观看

  U3也是加在被检测试仪电压端钮上的电压,所以有

子夜无人免费观看

  被检测试仪所测的实际等效电阻值R1见下式

子夜无人免费观看

  由此可见,检定时,只需调节电压转换装置的变比K(或标准电阻器的阻值),就可得不同阻值的检定点。


Copyright 2010-2017 , All Rights Reserved 子夜无人免费观看 版权所有 湘ICP备09002592号-5