当前位置:首页检测中心基础知识 │ 继电保护测试仪三相电源对称性及移相相位输出校准

继电保护测试仪三相电源对称性及移相相位输出校准

  • 浏览次数:6531次
  • 发布时间:2016/12/20 16:53:46
  • 作者:ly_yinhe

  继电保护测试仪三相电源输出相位控制校准是一个重要的检测项目,三相电源输出对称性及相位输出对继电保护设备检测的准确性有种要影响。下面本文主要根据继电保护测试仪检定规范介绍其三相电源对称性及移相相位输出校准。

交流电压源和交流电流源相位控制

01继电保护测试仪相位控制一般要求

  电流源各相之间、电压源各相之间、电流源与电压源各相之间的相位控制范围及准确度应满足本标准相关要求,移相范围为0°~360°,最小可调步长为0.1°,分辨力为0.1。基准工作条件下,允许偏差不大于±0.2°。

02继电保护测试仪三相电源对称性要求

  继电保护测试仪应能输出三相平稳电源,且满足以下要求:

  a) 三相电源中各相电压或线电压应大小相等,其相电压间或线电压间的差异应不大于其电压平均值的0.5%;

  b) 三相平衡电源中相电流应大小相等,其相电流间或线电流间的差异应不大于其电流平均值的0.5%;

  c) 三相平衡电源中相电压与该相电流间夹角应大小相等,其间的差值应不超过0.5°。

继电保护测试仪三相电源对称性校准

  设定被检继电保护测试仪输出的量为对称三相交流电压和三相交流电流,设定三相电压和电流间的相位角为固定的相角差,输出的电压和电流的频率为50Hz。

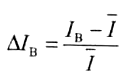
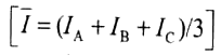
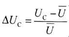
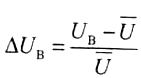
  采用用交流电压表测量三相电压的电压值UA、UB、UC,用交流电流表测量三相电流的电流值IA、IB、IC,用相位表测量A相电压与A相电流间的相位角φA,B相电压与B相电流间的相位角φB、C相电压与C相电流间的相位角φC。

  计算三相电压的电压平均值:

子夜无人免费观看

  计算三相电流的电流平均值:

子夜无人免费观看

  确定每一相电压与三相电压的电压平均值的差异:

子夜无人免费观看子夜无人免费观看子夜无人免费观看 确定每一相电流与三相电流的平均值的差异:

子夜无人免费观看子夜无人免费观看子夜无人免费观看再者确定各相电压与电流间相位的差异,对比三相电源对称性幅值误差及相位差异指标。

继电保护测试仪移相相位校准

  继电保护测试仪输出相电压之间、输出相电压和相电流相位的校准接线示意图如图1所示。

相位校准接线示意图

图1示:相位校准接线示意图

  输出电压之间的相位以A相电压为基准,改变其他相电压的相位。

  输出相电压和相电流相位的测量,设定A相电压为100V,A相电流为5A,改变输出相位,用相位表测量输出相位。相位校准点可选取以下几点:0°、30°、60°、90°、180°、270°。

  按要求连接相位校准标准,设定上述校准点进行移相相位误差的测量。

  绝对误差表示为:

子夜无人免费观看

  式中:

  △——被校继电保护测试仪输出值绝对误差;

  ——被校继电保护测试仪相位输出值;

  ——校准标准显示值。


Copyright 2010-2017 , All Rights Reserved 子夜无人免费观看 版权所有 湘ICP备09002592号-5