

光电效应分为:外光电效应和内光电效应。光电效应中多数金属中的光电子只能从靠近金属表面内的浅层(小于μm)逸出,不能从金属内深层逸出的结论。光波能量进入金属表面后不到1的距离就基本被吸收完了。
外光电效应是被光激发产生的电子逸出物质表面,形成真空中的电子的现象。内光电效应是被光激发所产生的载流子(自由电子或空穴)仍在物质内部运动,使物质的电导率发生变化或产生光生伏特的现象。分为光电导效应和光生伏特效应。
在光线作用下,电子吸收光子能量从键合状态过度到自由状态,而引起材料电导率的变化。 当光照射到光电导体上时,若这个光电导体为本征半导体材料,且光辐射能量又足够强,光电材料价带上的电子将被激发到导带上去,使光导体的电导率变大。 基于这种效应的光电器件有光敏电阻。
在光作用下能使物体产生一定方向电动势的现象。基于该效应的器件有光电池和光敏二极管、三极管。 基于外光电效应的电子元件有光电管、光电倍增管。光电倍增管能将一次次闪光转换成一个个放大了的电脉冲,然后送到电子线路去,记录下来。
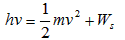
根据爱因斯坦的“光量子概念”,每一个光子具有能量
当光照射到金属上时,其能量被电子吸收,一部分耗于电子的逸出功
另一部分转换为电子逸出金属表面后的动能。由能量守恒定律得:

此式称为爱因斯坦光电方程。式中h为普朗克常数,v为入射光的频率,m为电子质量,v为电子的最大速度,上式右边第一项为电子最大初动能。用光电方程圆满解释了光电效应的基本实验事实:
电子的初动能与入射光频率呈线性关系,与入射光的强度无关。任何金属都存在一截止频率v0,
,v0又称红限,当入射光的频率小于v0时,不论光的强度如何,都不产生光电效应。此外,光电流大小(即电子数目)只决定于光的强度。
光电效应现象是赫兹在做验证麦克斯韦的电磁理论的火花放电实验时偶然发现的,而这一现象却成了突破麦克斯韦电磁理论的一个重要证据。
爱因斯坦在研究光电效应时给出的光量子解释不仅推广了普朗克的量子理论,证明波粒二象性不只是能量才具有,光辐射本身也是量子化的,同时为唯物辩证法的对立统一规律提供了自然科学证据,具有不可估量的哲学意义。这一理论还为波尔的原子理论和德布罗意物质波理论奠定了基础。
密立根的定量实验研究不仅从实验角度为光量子理论进行了证明,同时也为波尔原子理论提供了证据。
1921年,爱因斯坦因建立光量子理论并成功解释了光电效应而获得诺贝尔物理学奖。
1922年,玻尔原子理论也因密立根证实了光量子理论而获得了实验支持,从而获得了诺贝尔物理学奖。
1923年,密立根“因测量基本电荷和研究光电效应”获诺贝尔物理学奖。
如今光电效应已经广泛地应用于现代科技及生产领域,利用光电效应制成的光电器件(如光电管、光电池、光电倍增管等)已广泛用于光电检测、光电控制、电视录像、信息采集和处理等多项现代技术中。
在工业制造上,大部分光电控制的设备都要用到光控制电器。它包括电磁继电器、光电管、放大电路和电源等部件。
光电倍增管 PM T(photomultiplier tube)是一种建立在光电子发射效应、二次电子发射和电子光学理论基础上的 ,把微弱入射光转换成光电子并获倍增的重要的真空光电发射器件。而我们普通生活中的电视电影的发射和图象传送也离不开光电倍增管。
我们把将光信号(或光能)转变成电信号(或电能)的器件叫光电器件。现已有光敏管、光敏电阻、光敏二极管、光敏三极管、光敏组件、色敏器件、光敏可控硅器件、光耦合器、光电池等光电器件。这些器件已被广泛应用于生产、生活、军事等领域。