当前位置:首页检测中心基础知识 │ 单相交流异步电动机试验项目测量方法简介

单相交流异步电动机试验项目测量方法简介

  • 浏览次数:6709次
  • 发布时间:2016/8/31 16:44:19
  • 作者:hb_yinhe

  根据国家标准对单相交流异步电动机试验的要求,试验时对试验仪器以及试验方法均有明确的要求,本文根据国标对单相交流异步电动机试验仪器以及试验方法做简单介绍。

单相交流异步电动机试验测量仪器的要求

  单相交流异步电动机试验时,采用的电气测量仪表准确度不能低于0.5级,互感器的准确度不能低于0.2级,电量变送器的准确度不能低于0.5%,数字式转速测量仪及转差率测量仪的准确度不低于0.1%±1个字,转矩测量仪及测功机的准确度不能低于1%,测力计的准确度不能低于1.0级,温度测量仪器的误差在±1°C以内,电阻测量仪的准确度不低于0.2级。

  需要重视的是,所有的测量仪器量程范围应大于20%~95%,比如采用互感器进行电量测量时,需采用多组不同量程的互感器来保障测量精度。

单相交流异步电动机电压电流功率测量

  单相交流异步电动机电压电流功率测量采用单相功率表直接测量输入电压电流功率,测量信号线尽可能接近电动机,以避免线路对试验数据的影响,也就是我们所说的就近测量原则。

单相交流异步电动机试验直流电阻测量

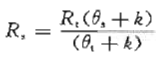
  直流电阻测量直接关系到试验的最终结果,电阻的测量均需修正到环境温度为25°C时的值。

  电阻电阻修正到规定温度是公式为: 式中:子夜无人免费观看

  Rs:修正到规定温度θs时的绕组电阻值,单位为欧姆(Ω)

  Rt:在温度θt下测得的绕组电阻值,单位为欧姆(Ω)

  Θs:修正到的规定温度,单位为(°C)

  Θt:测得的绕组温度,单位为(°C)

  k:常数,根据绕组材料不同而不同,k=234.5为100%的铜绕组,k=235为100%的铝绕组。

单相交流异步电动机试验转矩测量

  单相交流异步电动机通过连轴器与负载电机或测功机连接,负载电机或测功机的联接损耗、风摩耗的和应不大于被试电动机额定输出的15%,测功机的精度应不低于电动机额定输出转矩的0.25%。

单相交流异步电动机试验转速测量

  单相交流异步电动机可有有以下五种转速测量方法

  1、 数字式转速测量仪

  2、 感应式线圈法

  3、 转速频率计

  4、 数字频率计

  5、 频闪光仪测试法

单相交流异步电动机试验温度测量

  单相交流异步电动机可有有以下四种温度测量方法:

  温度计法

  热电偶法

  电阻法

  埋置检温计法

原文:/NewsDetail-1955.aspx转载务必带链接注明出处,未注明必追究责任!

Copyright 2010-2017 , All Rights Reserved 子夜无人免费观看 版权所有 湘ICP备09002592号-5