

电压、电流纹波因数测定及电流波形因数测定是直流电机试验中的标准试验项目,本文主要根据GB/T 1311 直流电机试验方法对整流电源供电的直流电机纹波因数计算方法、波形因数计算方法进行介绍。

图1示:直流电机波形采集示意图
试验中采用具备波形采集分析的设备对输入电压电流波形进行采集记录,从而测定脉动电压、脉动电流最大值、最小值。如上图1所示,采用的是WP4000变频功率分析仪作为波形采集记录设备,既可以充当直流电机测试系统中电压、电流、功率等参量的测试设备,亦可开放原始数据端口,采集前端测试波形数据,供上位机软件分析处理。
电压、电流波形不间断时纹波因数的计算

图2示:不间断供电电压电流波形图
电压、电流波形不间断时,其纹波因数应按照下式计算:

式中:
K0CU——电压纹波因数;
Umax——脉动电压最大值,V;
U民——脉动电压最小值,V。

式中:
K0CI——电流纹波因数;
Imax——脉动电流最大值,A;
Imin——脉动电流最小值,A。

图3示:间断供电电压电流波形图
电压、电流纹波间断时,其纹波因数应当按照下式计算:

式中:
K0CU——电压纹波因数;
Umax——脉动电压最大值,V;
UaV——直流电压平均值,V。

式中:
K0CI——电流纹波因数;
Imax——脉动电流最大值,A;
IaV——直流电流平均值,A。
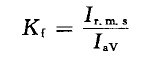
电流波形因数按照下式计算:
式中:

Kf——电流波形因数;
Irms——电流的有效值,A;
IaV——电流的平均值,A。
【原文:/NewsDetail-1928.aspx,转载务必带链接注明出处,未注明必追究责任!】
上一篇:直流电机转动惯量测定方法简介
下一篇:直流电机电枢电流变化率测定