

根据电磁定律,当磁场变化时,附近的导体会产生感应电动势,其方向符合法拉第定律和楞次定律,与原先加在线圈两端的电压正好相反,这个电压就是反电动势。在永磁同步伺服电机中,只要电机在转动,必然会有线圈切割磁力线,所以会有反电动势产生。反电动势用E1表示,其有效值的计算如下式:

其中:
KE——为比例常数;
FN——为定子电流的频率;
NL——为每相定子绕组的匝数;
ф——为主磁通的振幅值。
◆ 转子角速度
◆ 转子磁体产生的磁场
◆ 定子绕组的匝数
当电机设计完毕,转子磁场与定子绕组的匝数都是确定的,因此唯一决定反电动势的因数是转子角速度,或者说是转子转速,随着转子速度的增加,反电动势也随之增加。
根据永磁交流伺服电动机通用技术条件描述,我们一般采用反电动势常数来对永磁同步电机进行考核。反电势常数是永磁同步电机一项很重要的技术指标参数,它关系到电机运行性能及控制器的设计工作。因此,在永磁同步伺服电机生产中必须对该项参数进行精确测试,通过标准的检测方法验证设计产品是否满足技术要求。
GB/T 50349 永磁交流伺服电动机通用技术条件中规定先将被试电机拖动至技术条件规定的某一转速n,再用示波器观测其波形,通过电压及转速计算得出反电动势常数(Ke),并且要求Ke符合永磁同步伺服电机技术条件规定。

图示1:反电动势测试平台
如上图所示为永磁同步伺服电机反电动势测试平台,按照试验标准要求陪试电机做电动运行,拖动被试电机空载运行转速至n;由转速传感器完成转速测试,WP4000变频功率分析仪完成被试电机线反电动势U测试。
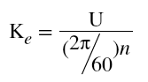
试验时测取电机空载转速为n时的线反电动势U,用下式计算反电动势常数,以验证是否满足技术要求限制范围。

式中:
Ke——反电动势常数,单位为伏特每弧度负一次方秒(V/rad*-1^s);
U——电机线反电动势,单位为伏特(V),正弦波驱动电机用线反电动势有效值,方波驱动电机用线反电动势幅值;
N——被测点转速,单位为转每分(r/min)。
本方案选用WP4000变频功率分析仪完成反电动势及转速测试,采取有效的同步手段保证电参量及非点参量的同步测试。同时,WP4000变频功率分析仪开放原始数据端口,前端采集原始波形数据可以通过以太网直接与上位机共享,可以完全取代示波器的需求。通过自定义分析软件可以直接完成反电动势常数测试,满足于伺服电机试验系统自动化测试需求。
【原文:/NewsDetail-1868.aspx,转载务必带链接注明出处,未注明必追究责任!】