

光纤陀螺仪的实现主要基于塞格尼克理论:当光束在一个环形的通道中前进时,如果环形通道本身具有一个转动速度,那么光线沿着通道转动的方向前进所需要的时间要比沿着这个通道转动相反的方向前进所需要的时间要多。也就是说当光学环路转动时,在不同的前进方向上,光学环路的光程相对于环路在静止时的光程都会产生变化。利用光程的变化,检测出两条光路的相位差或干涉条纹的变化,就可以测出光路旋转角速度,这便是光纤陀螺仪的工作原理。

图示:光纤陀螺仪基本结构图
Sagnac效应

理想环形光路系统中sagnac效应
(a)系统静止(b)系统旋转
理想条件下,环形光路系统中的Sagnac效应如上图所示。一束光经分束器M进入同一光学回路中,分成完全相同的两束光Ccw和Cccw,分别沿着顺时针方向(CW)和逆时针方向(CCW)相向传播,当回路绕垂直于自身的轴转动时,将使两束光产生相位差,该相位差的大小与光回路的旋转速率成比例。
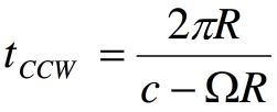
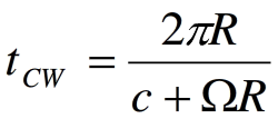
如图(a)所示,在无旋转条件下,两束光传输时间相等为

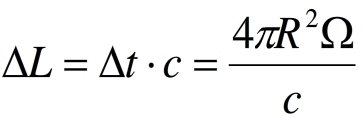
如图(b)所示,ω旋转条件下


传输时间差

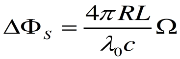
传输光程差

传输相位差

01按原理上分类
可以分为:干涉式、谐振式和光纤型环型激光陀螺仪。
干涉式光纤陀螺仪(I—FOG),即第一代光纤陀螺仪,目前应用最广泛。它采用多匝光纤圈来增强SAGNAC效应,一个由多匝单模光纤线圈构成的双光束环形干涉仪可提供较高的精度,也势必会使整体结构更加复杂;按照光路的组成干涉式光纤陀螺仪又可以分为:消偏型、全光纤型和集成光学型。
谐振式光纤陀螺仪(R-FOG)是第二代光纤陀螺仪,采用环形谐振腔增强SAGNAC效应,利用循环传播提高精度,因此它可以采用较短光纤。R—FOG需要采用强相干光源来增强谐振腔的谐振效应,但强相干光源也带来许多寄生效应,如何消除这些寄生效应是目前的主要技术障碍;按照光路的组成谐振式光纤陀螺仪又可以分为:全光纤型和集成光学型。
受激布里渊散射光纤陀螺仪(B-FOG),第三代光纤陀螺仪比前两代又有改进,目前还处于理论研究阶段。是一种利用光纤环形腔中的受激布里渊散射的方向性增益效应来实现利用Sagnet效应检测谐振速率,其原理与激光陀螺仪完全相似。由于无需复杂的调制解调检测技术,国际上倍受重视。
02按光学系统的构成
集成光学型和全光纤型光纤陀螺仪。
03按结构
单轴和多轴光纤陀螺仪。
04按回路类型
开环光纤陀螺仪和闭环光纤陀螺仪。
与机电陀螺或激光陀螺相比,光纤陀螺仪具有如下特点:
1) 零部件少,没有旋转部件和摩擦部件,仪器牢固稳定,具有较强的抗冲击和抗加速运动的能力;
2) 绕制的光纤较长,使检测灵敏度和分辨率比激光陀螺仪提高了好几个数量级;
3) 无机械传动部件,不存在磨损问题,因而具有较长的使用寿命;
4) 易于采用集成光路技术,信号稳定,且可直接用数字输出,并与计算机接口联接;
5) 通过改变光纤的长度或光在线圈中的循环传播次数,可以实现不同的精度,并具有较宽的动态范围;
6) 相干光束的传播时间短,因而原理上可瞬间启动,无需预热;
7) 可与环形激光陀螺一起使用,构成各种惯导系统的传感器,尤其是捷联式惯导系统的传感器;
8) 结构简单、价格低,体积小、重量轻。
光纤陀螺仪自1976年问世以来,得到了极大的发展。但是,光纤陀螺仪在技术上还存在一系列问题,这些问题影响了光纤陀螺仪的精度和稳定性,进而限制了其应用的广泛性。主要包括
(1) 温度瞬态的影响
理论上,环形干涉仪中的两个反向传播光路是等长的,但是这仅在系统不随时间变化时才严格成立。实验证明,相位误差以及旋转速率测量值的漂移与温度的时间导数成正比.这是十分有害的,特别是在预热期间。
(2) 振动的影响
振动也会对测量产生影响,必须采用适当的封装以确保线圈良好的坚固性,内部机械设计必须十分合理,防止产生共振现象。
(3) 偏振的影响
现在应用比较多的单模光纤是一种双偏振模式的光纤,光纤的双折射会产生一个寄生相位差,因此需要偏振滤波。消偏光纤可以抑制偏振,但是却会导致成本的增加。
● 战略导弹系统和潜艇导航应用
● 卫星定向和追踪
● 战术武器制导与控制系统
● 各种运载火箭应用
● 姿态/航向基准系统
● 舰船、导弹和民用飞机的惯性导航
● 陆地导航系统
● 天体观测望远镜的稳定和调向
● 汽车导航仪、天线/摄像机的稳定、石油钻井定向、机器人控制、各种极限作业的控制等工业和民用领域
光纤陀螺技术水平和应用状况表

上表摘录自——蔡青-保偏光纤温度特性研究(中国光学学会光电技术委员会展望光电技术发展趋势研讨论文集)
未来光纤陀螺仪的发展将着重于以下几个方面:
1) 高精度。更高的精度是光纤陀螺仪取代激光陀螺在高等导航中地位的必然要求,目前高精度的光纤陀螺仪技术还没有完全成熟。
2) 高稳定性和抗干扰性。长期的高稳定性也是光纤陀螺仪的发展方向之一,能够在恶劣的环境下保持较长时间内的导航精度是惯导系统对陀螺的要求。比如在高温、强震、强磁场等情况下,光纤陀螺仪也必须有足够的精度才能满足用户的要求。
3) 产品多元化。开发不同精度、面向不同需求的产品是十分必要的。不同的用户对导航精度有不同的要求,而光纤陀螺仪结构简单,改变精度时只需调整线圈的长度直径。在这方面具有超越机械陀螺和激光陀螺的优势,它的不同精度产品更容易实现,这是光纤陀螺仪实用化的必然要求。
4) 生产规模化。成本的降低也是光纤陀螺仪能够为用户所接受的前提条件之一。各类元件的生产规模化可以有力地促进生产成本的降低,对于中低精度的光纤陀螺仪尤为如此。
上一篇:电动汽车DC/DC变换器
下一篇:充电桩