


图1 分度头及分度盘

图2 分度头结构图
摇动手柄配合带动分度盘,完成分度工作。

图3 分度盘
分度盘一般有两块,正反面都有许多孔圈和孔数。每个孔圈上的孔数都不等,同一孔圈上的孔距相等。两块分度盘的孔数一般分别为:24,25,28,30,34,37(正面);38,39,41,42,43(反面)。46,47,49,51,53,54(正面);57,58,59,62,66(反面)。

图4 分度头主轴
分度头主轴用来夹住工件。摇动手柄,主轴按照一定的传动比转动,传动比也称为分度定数,一般有40、90两种,也就是手柄旋转一圈,主轴分别转动9°和4°。
回转体在分度头支座的环形导轨内转动,能使主轴处于水平或垂直位置,以及中间的任意位置。
简单分度是利用分度盘上不同的孔数和定位销通过计算来实现工件所需的等分数,是分度头在机械行业最常用的方法。
若分度头的分度定数为40,计算方法如下:

N——分度手柄转数,Z——工件所需等分数。
若计算值含分数,则在分度盘中选择具有该分母整数倍的孔圈数。
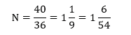
例:用分度头要将某工件等分为36份,

在分数度盘中找到孔数为9*6=54的孔圈,代入上式:

操作方法:先将分度盘轴套锁紧螺钉锁紧,再将定位销调整到54孔数的孔圈上,调整扇形拨叉含有6个孔距。此时转动手柄使定位销旋转一圈再转过6个孔距。
角度分度是简单分度的另外一种形式,根据工件所需分度的角度或者所需旋转的角度来进行的。若分度头的分度定数为40,则分度手柄转40圈,主轴转360°,手柄转一圈,主轴只转过9°。计算方法如下:
![]()
N——分度手柄转数,
——工件所需角度。
例:主轴需要旋转5°,

操作方法:按照上面简单分度的分度方法,分度手柄在54孔盘上,旋转30个孔距,即可得到所需旋转的5°。
当分度精度要求较低时,转动分度手柄,可根据本体上的游标环刻度直接读数进行分度。