当前位置:首页检测中心基础知识 │ 不一样的二瓦计法

不一样的二瓦计法

  • 浏览次数:8748次
  • 发布时间:2015/7/17 16:58:42
  • 作者:hb_yinhe

  二瓦计法是一种非常常见的测量方法,由于在三相测量中可以节省一组电压电流测量传感器,能节约很大一部分成本,所以在很多场合二瓦计法都有应用。

  很多功率分析仪都有二瓦计法的功能,方法大同小异,但是WP4000的二瓦计法有别于其他功率分析仪。

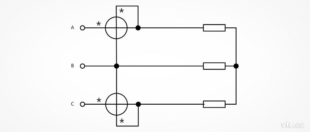
二瓦计法的测量原理

二瓦计法的测量原理

  如图所示,这是一个典型的二瓦计法测试原理图,采用两个功率表分别测量A相和C相的电压、电流信号,然后根据基尔霍夫定律分别计算出B相的电压和电流,从而得到三相电压、电流的幅值、相位参数。

  附:

  基尔霍夫电流定律:电路中任一个节点上,在任一时刻,流入节点的电流之和等于流出节点的电流之和。

  基尔霍夫电压定律,任何一个闭合回路中,各元件上的电压降的代数和等于电动势的代数和,即从一点出发绕回路一周回到该点时,各段电压的代数和恒等于零,即∑U=0。

  二瓦计法的理论依据是基尔霍夫电流定律,即:在集总电路中,任何时刻,对任意结点,所有流入流出结点的支路电流的代数和恒等于零。也就是说,两根火线的流入电流等于第三根火线的流出电流,或者说,三根火线的电流的矢量和等于零,即:

  ia+ib+ic=0  (1)

  假设三相负载的中线为N,依据电压的定义:

  uab=uan-ubn,ucb=ucn-ubn  (2)

  三相瞬时功率:

  p=uan*ia+ubn*ib+ucn*ic,  (3)

  将式(1)和式(2)代入式(3),得:

  p=uan*ia+(-ubn*ia+ubn*ia)+ubn*ib+ucn*ic

  =uab*ia+ubn(ia+ib)+ucn*ic

  =uab*ia+ubn(-ic)+ucn*ic

  =uab*ia+ucb*ic。

  有功功率等于瞬时功率在一个周期内求积分再求平均,得到:

  P=P1+P2

  P为三相电路有功功率的总和,P1为uab*ia在一个周期内的积分的平均值,P2为ucb*ic在一个周期内的平均值。在正弦稳态电路中:

  P=UAB*IA*cosφAB+UCB*IC*cosφCB

  即:

  P1=UAB*IA*cosφAB

  P2=UCB*IC*cosφCB

  式中,UAB、IA、UCB、IC均为正弦电压电流的有效值,φAB为UAB和IA的相位差,φCB为UCB和IC的相位差。

  从变换的公式中可以看出,采用这种方法进行三相总功率测量时,只需要测量两个电压和两个电流,这就是二瓦计法的推导原理及由来。

  二瓦计法测量时,三相电路总功率等于两块功率表的功率之和,每块功率表测量的功率本身无物理意义。

二瓦计法测量的适用范围

  由于二瓦计法的理论依据是基尔霍夫定律,适用于在三相回路中只有三个电流存在的场合,如:

  1、三相三线制接法中线不引出(只能采用两瓦计法);

  2、 三相三线制接法中线引出但不与地线或试验电源相连的场合,与是否三相平衡无关。

  在实际应用中,二瓦计法有误区常常被错误认为只适合于三相对称电路的功率测量。根据基尔霍夫定律,并没有要求三相对称,只有ia+ib+ic=0的假设。换句话说,只要满足基尔霍夫定律,测量的精度完全可以满足需求,与是否三相平衡无关。

WP4000变频功率分析仪二瓦计法优势

  相比于其他功率分析仪需要增加delta选件用于二瓦计法不同,WP4000自带delta运算功能,通过选择不同的线路图就可以实现二瓦计法,使用简单灵活,无需配置选件而增加额外的成本。


Copyright 2010-2017 , All Rights Reserved 子夜无人免费观看 版权所有 湘ICP备09002592号-5