12脉整流变压器
- 浏览次数:27181次
- 发布时间:2015/4/8 8:17:03
- 作者:银河电气
定义
12脉整流变压器是指整流器的直流母线电流由12个可控硅(晶闸管)整流完成的变流变压器。
整流变压器是供整流设备用的电源变压器,它的任务就是将交流变换成一定大小和相数的电压,然后再经过整流元件整流,以满足直流输出的要求。12脉整流变压器的整流装置是12个可控硅(晶闸管)组成的12相全波整流电路。
图1:12脉整流变压器原理图
如上图1,12脉整流变压器是由△/△接法和△/Y接法两个三相桥式整流电路叠加而成的。对负载而言,两组整流臂相串联。三角形绕组的线电压a1b1、b1c1、c1a1分别与星形绕组的相电压a0、b0、c0同相,星形绕组的线电压ab、bc、ca分别比三角形绕组的线电压超前30°。12脉整流变压器的工作原理与三相桥式整流变压器基本相同,工作中总有四个整流管串联导电,其波形如下图2所示。
图2:12脉整流变压器波形图
图2中,星形接法线电压a1b1超前三角形线电压a2b2相位30°,故两组整流器合成的直流输出电压的纹波频率相应提高了一倍。
设定:
第一个△/△接法整流桥的网侧电流为:iIA;
第二个△/Y接法整流桥的网侧电流为:iIIA;
合成网侧线电流为:iA。
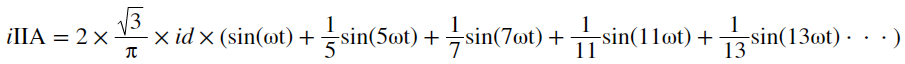
iIA的傅里叶展开级数为:

△/Y网侧线电压比桥△/△超前30°,因网侧线电流比桥I超前30°。

故合成的网侧线电流

可见,两个整流桥产生的5、7、17、19、…次谐波相互抵消,注入电网的只有12k±1(k为正整数)次谐波,且其有效值与与谐波次数成反比,而与基波有效值的比值为谐波次数的倒数。
1、将整流设备与电网的电路隔离开来,确保设备和人身安全,限制短路电流,减小整流设备对电网或其他并联运行整流设备相互间的电磁干扰,抑制可控硅等整流元件的电流上升率;
2、输出电压纹波小,可使滤波器简化;
3、十二相整流电路可同时有三种电压输出:全压Uo,半压Uo/2和Uo/4;
4、整流元件比三相桥式电路多一倍;
5、整流变压器结构较为复杂。
为整流装置供电用的变压器,称之为整流变压器。整流变压器与电力变压器虽然工作原理相同(法拉弟电磁感应定律)、结构类似(绕在共同铁心上的两个或两上以上绕组组成)、外观相近(都是一种静止的电器设备)。但两者还是存在很大的区别:
1、电力变压器一个周期内只有三个正弦脉波。整流变压器一个周期内的脉波数(即等效相数)可达6或12个。
2、电力变压器高低压通常与电网电压等级相匹配,而整流变压器只是网侧电压与电网电压等级相匹配而阀侧电压可根据负载要求、整流方式而定。
3、整流变压器需进行换向阻抗计算。
4、整流变压器由于谐波引起的附加损耗不能忽视。因此,同样功率等级条件下的整流变压器在制造时,用铜量及硅钢片用量要高得多。